◆千葉県 なのはな子 さんからの解答。
【問題3】
太郎 106才
次郎 98才
1+0+6=7
7X14=98
98+8=106
【問題4】
A-Bの距離は、5kmである。
38-(25+24)=-11
43-(27+11)=5
【問題5−1】
空国には、最大で9つの空港がある。
9つの空港を、A,B,C,D,E,F,G ,H,I とする。
・A⇔B⇔C⇔D⇔E⇔F⇔G⇔H⇔I⇔A(各空港共通)
・A⇔D、A⇔G
・B⇔E、B⇔H
・C⇔F、C⇔I
・D⇔G、D⇔A
・E⇔H、E⇔B
・F⇔I、F⇔C
・G⇔A、G⇔D
・H⇔B、H⇔E
・I⇔C、I⇔F
【問題5−2】
最大で、24空港ある。
◆山梨県 Footmark さんからの解答。
【問題1】
6桁の数は26(=64)で割り切れるので、
当然25,24,23,22,21でも割り切れる筈です。
また、各桁の数字は1か2です。
そこで、?が1か2であることを考慮しつつ以下のように求めます。
100の桁の数字を?とすると、
[ ?] が21(= 2)で割り切れる筈なので、
?は2。(□□□□□2)
101の桁の数字を?とすると、
[ ?2] が22(= 4)で割り切れる筈なので、
?は1。(□□□□12)
102の桁の数字を?とすると、
[ ?12] が23(= 8)で割り切れる筈なので、
?は1。(□□□112)
103の桁の数字を?とすると、
[ ?112] が24(=16)で割り切れる筈なので、
?は2。(□□2112)
104の桁の数字を?とすると、
[ ?2112] が25(=32)で割り切れる筈なので、
?は2。(□22112)
105の桁の数字を?とすると、
[?22112] が26(=64)で割り切れる筈なので、
?は1。(122112)
【答え】 122112
【問題2】
筆算(電卓でも可能)で、√1.996=1.4127986‥ を得ます。
また、1.4や1.5の2乗では4桁になりません。
そこで、3桁からはじめ、より正確な値に前後から近づいていきます。
1.41 x1.41 =1.9881 ダメ 1.42 x1.42 =2.0164 ダメ 1.412x1.412=1.993744 ダメ 1.413x1.413=1.996569 OK答えは自然数なので小数点は無視します。
【答え】 1413
【問題3】
次郎の年齢は14n(nは自然数)の筈です。
ですから、次郎の年齢を14,28,42,‥と順に増やしてみれば得られます。
(年齢なので増やす回数もそんなに多い筈はありません。)
この方が、代数で解くよりはるかに早いです。
n=7のとき、条件を満たします。
【答え】 太郎:106歳 , 次郎:98歳
【問題4】
(PQ)でP-Q間の距離を表すものとします。
(AB)
=[{(AF)-(CF)}+(CH)]-{(BE)+(EH)}
=[{43-25}+38]+{27+24}
=5
(A-D=28km も D-G=22km も必要なかったですね。)
【答え】 5km
【問題5】
逆に、空港数を与え直行便の数を問えば『必要な通訳者』と一緒です。
【問題5−1】
【答え】 7空港
【問題5−2】
【答え】 15空港
◆広島県 清川 育男 さんからの解答。
【問題1】
64の倍数であるためには4の倍数でなければならない。
4の倍数は下2桁が4で割り切れなければならない。
したがって、下2桁は12。
64の倍数であるためには8の倍数でなければならない。
8の倍数は下3桁が8で割り切れなければならない。
したがって、下3桁は112。
候補となる数は、(16(5)、32(6)と絞ってもいいが、、、) 111112
112112
121112
122112 ○
211112
212112
221112
222112
以上8通りであるが題意を満たすのは、122112だけ。
【問題2】
14の2乗は、196。
14X Xは自然数。
X=13のとき、1413の2乗は、1996569になり、
X=1〜12のなかにないから、題意を満たす。
【問題3】次郎君 太郎君
14 22
28 36
42 48
56 64
70 78
84 92
98 106 ○
【問題4】
与えられた数字をあてはめていくと、
A-5-B-13-C-10-D-4-E-11-F-7-G-6-Hとなる。
したがって、 A-Bの距離は、5km。
◆千葉県 なのはな子 さんからの解答。
【問題5】
Footmark さんの、『必要な通訳者』といっしょだという解答を見て、なるほどと思
いました。
それでやり直してみたのですが、なぜか【問題5−1】の答えが8つになりました。
図にしてみたら、合っているような気がするのですが・・・?
同じようにして考えると、【問題5−2】は19になってしまいました。・・・?
◆山梨県 Footmark さんからの解答。
【問題5】 修正版
空港数=3x(直行便数ー1)+2=3x(直行便数)ー1 の関係になります。
直行便数が2:◎○××○
直行便数が3:◎○××○××○
直行便数が4:◎○××○××○××○
↓
ただし、左端の◎と右端の○は隣同士にあり、全体で輪になっています。
また、◎は自空港、○は直行便がある空港、×は直行便がない空港 です。
【問題5−1】
空港数=3x3ー1=8
【答え】 8空港
【問題5−2】
空港数=3x7ー1=20
【答え】 20空港
◆千葉県 なのはな子 さんからの解答。
【問題5−2】
19というのは間違いでした。
「18空港」では・・・?
計算ではFootmarkさんのいわれるとおり20空港のはずなのに・・・。
自空港(◎)の両隣の「直行便がある空港(○)」と、その次の「直行便がある空港(○)」との間は、「直行便がない空港(×)」は1つでなければ、この問題は解けないみたいです。
理由がわかりません。
直行便数が7:◎○×○××○××○××○××○×○
空港数=3x7−3=18
図にしてみました。
この図では、どこへでも問題の指示のとおりに行けます。

◆山梨県 Footmark さんからの解答。
【問題5】
この問題は面白いだけでなく、奥も深そうですね。
18空港が可能なのは、なのはな子さんの図より一目瞭然です。
[ 20空港でも可能である証明 ]
自空港を00とし、残り19空港を時計回りに01,02,‥,19とします。
自空港から直行便で行ける空港は、表で横に並んでいる下線付き青字の7空港です。
下線付き青字の各空港で乗り換え後に行ける空港は、表でその下に縦に並んでいる各7空港です。
20空港(00〜19)のいずれも、この56(=7x8)の「行き先」のどこかに必ず存在します。
ですから、各空港とも示したような7航路にすると、直行便か1回の乗り換えだけですべての空港へ行くことができます。
証明終わり。
[ P・S ]
表の青字の3行に注目すると、その3行に20空港(00〜19)のいずれも含まれています。
ですから、乗り換え後はその空港からの直行便は7航路も必要なく、前後の空港行きの2航路さえあれば十分です。
だとすると、何か無駄があるような気がします。
ひょっとすると、空港数はさらに増やすことが可能なのでしょうか?
20空港でも可能であることは示しましたが、20空港が最多である証明はできていません。^^;
諸兄の解答に期待したいところです。
◆出題者のコメント。
皆さん『問題5』以外は全問正解です。
『問題5』がまだ誰も正解していないみたいなので、ヒントを出します。
直行便で行ける場所は3カ所、直行便で行った場所からはそれぞれ(戻れないので)最高で2カ所です。
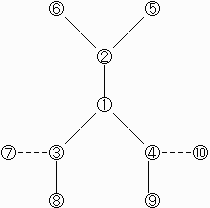
◆宮城県 甘泉法師 さんからの解答。
【問題5−1】
下図の空港(1)の都合だけ考えると空港の数は最大で10。

(5)と(10)、(6)と(7)、(8)と(9)、
(6)と(9)、(5)と(8)、(7)と(10)
をそれぞれ結べば題意を満たす。
答え 空港の数は10
◆広島県 清川 育男 さんからの解答。
【問題5】
規則性から N2+1 が推理されます。
【問題5−1】
N=3
32+1=10
【問題5−2】
N=7
72+1=50
【青木コメント】
どうも清川さん予想が正しいようです。
◆大阪府 ゆたか さんからのコメント。
【問題1】について、次のような応用問題が考えられます。
【問題2】について、次のような類題が考えられます。
◆山梨県 Footmark さんからの解答。
【問題1】の応用問題
最上位桁の数字は0でないものとする。
【問題1】の応用問題1
各桁の数字が1か2であるN(≧1)桁の数をS(N)とし、
その内で2Nで割り切れるものをT(N)とする。
k(≧1)桁の時、T(k)が存在すると仮定する。
∴ T(k)≡0 (mod 2k)
また、ある数で割り切れるが、ある数の2倍で割り切れないなら、そのときの余りはある数である。
∴ T(k)≡0 (mod 2k+1) あるいは T(k)≡2k (mod 2k+1)
そこで、
S(k+1)=p*10k+T(k)=p*5k*2k+T(k)=q*2k+T(k) とする。
(ただし、pは1桁の正整数でqは正整数)
●T(k)≡0 (mod 2k+1) のとき
qを偶数にすると、
S(k+1)=q*2k+T(k)≡(q/2)*2k+1+0≡0 (mod 2k+1)
qを奇数にすると、
S(k+1)=q*2k+T(k)≡q*2k+0≡2k(mod 2k+1)
●T(k)≡2k (mod 2k+1)のとき
qを奇数にすると、
S(k+1)=q*2k+T(k)≡2k+2k≡0 (mod 2k+1)
qを偶数にすると、
| S(K+1)=q*2k+T(k)≡ | q 2 | *2k+1+2k≡2k (mod 2k+1) |
明らかにpとqの偶奇は等しいので、
T(k)≡0 (mod 2k+1) のときは、pが偶数であるときに限りT(k+1)が存在する。
T(k)≡2k (mod 2k+1) のときは、pが奇数であるときに限りT(k+1)が存在する。
ところが、pは1(唯一の奇数)か2(唯一の偶数)なので、T(k+1)は唯1つしか存在しない。
以上より、T(k)が存在するなら、T(k+1)は唯1つだが存在する。
ところで、21で割り切れるS(1)は、T(1)=2 の唯1つだけである。
よって、すべてのNに対してT(N)は唯1つ存在する。
証明終わり。
[ P・S ]
この証明からも解るように【問題1】の解法には以下もあります。
1位の桁の数字は明らかに偶数2、よって□□□□□2を得ます。
そこで、2を4で割ってみます。
割り切れないので1つ上の桁は奇数1、よって□□□□12を得ます。
そこで、12を8で割ってみます。
割り切れないので1つ上の桁は奇数1、よって□□□112を得ます。
そこで、112を16で割ってみます。
割り切れるので1つ上の桁は偶数2、よって□□2112を得ます。
そこで、2112を32で割ってみます。
割り切れるので1つ上の桁は偶数2、よって□22112を得ます。
そこで、22112を64で割ってみます。
割り切れないので1つ上の桁は奇数1、よって122112を得ます。
【問題1】の応用問題2
問題文の表現「各桁の数字がaかbのN桁の数」は、片方の数字だけの使用でもよいものとする。
また、特にa≠bの条件もないので、a=bも許すものとする。
各桁の数字がaかbであるN(≧1)桁の数で、2Nで割り切れるものをT(N)とする。
また、同じ構成数字で唯一つしか存在しないT(N)をU(N)とする。
U(1)=2,4,6,8
U(2)=12,16,20,24,28,32,36,40,44,52,56,60,64,68,72,76,80,88,92,96
(48と84は同じ構成数字なので除く)
ここで、T(3)を考えてみる。
よって、U(3)はU(2)の内で構成数字が0以外の2種類の偶数であるものを除いてから得なければならない。
U(3)=112,616,200,232,336,400,144,344,544,744,944,552,656,600,272,776,800,288,488,688,888,992,696
U(4)も同様に、U(3)の内で構成数字が0以外の2種類の偶数であるものを除いてから得なければならない。
U(4)=2112,1616,2000,3232,6336,4000,4144,3344,4544,7744,4944,5552,6656,6000,2272,7776,8000,1888,3888,5888,7888,9888,2992,9696
ここで、いずれのU(4)も2種類の数字で構成されているが、2種類とも0以外の偶数であるものはない。
よって、各U(N)における許される構成要素a,bは以下である。
(0≦a≦b≦9)
U(1)のとき、
一方の数字=2,4,6,8
他方の数字=任意1桁数
(ただし、他方の数字は構成数字として使用しない)
U(2)のとき、
a=0,0,0,0,1,1,2,2,2,2,2,2,3,4,4,5,6,6,6,8
b=2,4,6,8,2,6,3,4,5,7,8,9,6,4,6,6,7,8,9,8
(ただし、片方の数字だけの使用なら、4と4は4と任意1桁数、8と8は8と任意1桁数)
U(3)のとき、
a=0,0,0,0,1,1,1,2,2,2,2,2,3,3,4,4,4,4,5,6,6,6,8
b=2,4,6,8,2,4,6,3,5,7,8,9,4,6,5,7,8,9,6,7,8,9,8
(ただし、片方の数字だけの使用なら、8と8は8と任意1桁数)
U(N)(N≧4)のとき、
a=0,0,0,0,1,1,1,1,2,2,2,2,3,3,3,4,4,4,5,5,6,6,7,8
b=2,4,6,8,2,4,6,8,3,5,7,9,4,6,8,5,7,9,6,8,7,9,8,9
(0と2,4,6,8とのペア4組と、2,4,6,8と1,3,5,7,9とのペア20組の計24組)
[ P・S ]
N≧4 の条件付きなら、構成数字は2種類(a≠b)ないと不可能なので、もっとスッキリしたのですが・・。
【問題2】の応用問題1
2度目なので、より正確に表現します。
筆算(電卓でも可能)で、√1.998=1.4135 と有効桁数5桁までを得ます。
有効桁数の関係から、1.4135 の末尾の数字に1を加えた
1.4136 の2乗は必ず 1.998・・ となります。
ただし、最小値とは限りません。
そこで最小値を得るため、末尾の数字に1を加えた有効桁数2桁〜5桁を、順に確かめてみます。
1.5x1.5=2.25
1.42x1.42=2.0164
1.414x1.414=1.999396
1.4136x1.4136=1.99826496
許される最大桁の 1.4136 が最小値であることが確認できます。
よって、求める最小な自然数は 14136 です。
【問題2】の応用問題2
AをN(≧1)桁の自然数としても、一般性を失うことはありません。
有効桁数の関係から、(N+1)桁の自然数
は必ず条件を満たします。
(ただし、[ ]はガウス記号)
よって、任意のN桁の任意な自然数Aに対して、2乗すると頭のN桁がAとなる自然数が必ず存在します。
【問題2】の応用問題の補足問題
(1) 真の値の有効桁数を順に増やしてみて確かめるとき、何故末尾の数字に1を加えてから確かめるのでしょうか?
(2)(N+1)桁の自然数
を2乗すると、何故頭のN桁が自然数Aになるのでしょうか?
ただし、[ ]はガウス記号。
◆大阪府 ゆたか さんからのコメント。
早々の解答ありがとうございます。
【問題1】の応用問題
(1)
正解です。おまけに、私の考えていた【問題1】の解法も示していただき恐縮です。
Footmarkさんは帰納法で簡潔に証明してくれましたが、もうひとつ用意していた証明があります。
それは、「各桁の数字が1か2のN桁の数は全部で2N個ありますが、それら各々を2Nで割った余りはすべて異なる。」ことを証明するという方法です。
この証明にも挑戦してみてください。
(2)
問題文の表現が少し曖昧だったようです。
文頭に「任意のNに対して」を追加するとよりスッキリすると思います。
この場合、FootmarkさんのN≧4の場合の解が正解であると思われます。
【問題2】の応用問題
(1)
残念ながらもっと小さい数が存在します。
一見【問題2】と変わらない問題ですが解法に落とし穴があります。
(2)
具体例を示していただきました。
これで、最小値を求める問題が意味を持ちますね。
◆山梨県 Footmark さんからの解答。
【問題2】の応用問題1
もう1つの場合を吟味するのを忘れていました。^^;
互いに10の奇数乗倍同士の2つの場合を確認する必要があります。
(10の偶数乗倍はすべて同一の数字の並びになるので必要ありません)
√1.998からの最小値は、前に示したように14136。
そこで、√19.98からの最小値も求めてみます。
筆算(電卓でも可能)で、√19.98=4.4698 と有効桁数5桁までを得ます。
有効桁数の関係から、4.4698 の末尾の数字に1を加えた
4.4699 の2乗は必ず 19.98・・ となります。
ただし、最小値とは限りません。
そこで最小値を得るため、末尾の数字に1を加えた有効桁数2桁〜5桁を、順に確かめてみます。
4.5x4.5=20.25
4.47x4.47=19.9809
4.47 が最小値であることが確認できます。
(自然数なら447)
明らかに、447<14136。
よって、求める最小な自然数は 447 です。
【答え】 447
◆東京都 鳳 奥人 さんからの解答。
【問題1】
各桁の数字が1か2である6桁の数は単純計算で64(26)通り。
64の倍数ということは1の位は絶対偶数なので、32通り。
この32通りを全部はじきだして、64で割ってみる・・・という力技もありますが、そういう類の問題ではないですよね(笑)
この32通りのうち最小の数は111112。
これを64で割った余りは8です。
また、100000、10000、1000、100、10を64で割った余りはそれぞれ32, 16, 40, 36, 10 です。
求める数は、111112に100000, 10000, 1000, 100, 10をそれぞれ1回または0回足した数です。
それぞれの余り同士を足した数が、64の倍数になっていれば、元の数の和も64の倍数です。
例)
(64a+42)+(64b+22) = 64(a+b)+64 = 64(a+b+1)
(64c+57)+(64d+38)+(64e+33)
= 64(c+d+e)+128
= 64(c+d+e+2)
余り同士の和が64になるのは 8+16+40
(111112の余り8は絶対に必要)
このとき元の数は
111112+10000+1000=122112
余り同士の和が128になるのは・・・ないようです。
(余り同士をすべて足すと142。ここから14を引けばいいのですが、自分自身が14であるものも、足して14になる組み合わせもありません)
余り同士の和が192以上ということは当然ありえません。
というわけで、求める数は122112です。
【問題2】
1996X の形では不可。
(1412=19881、1422=20164)
1996XX の形でも不可。
(4462=198916、4472=199806)
1996XXXの形では 14132が1996569。
これが最小です。
(ちなみに14122は1993744です)
【問題3】
常識的に考えて、太郎君の年齢は100歳未満とします。
太郎君の年齢を(10a+b)歳とすると
(a, bとも0以上9以下の整数)、
次郎君の年齢は(10a+b-8)歳。
また、次郎君の発言より次郎君の年齢は14(a+b)歳と書けます。
よって10a+b-8 = 14(a+b)
したがって4a+13b= -8
・・・おや?aもbも0以上だと成り立ちません。
ひょっとして太郎君の年齢は100歳超えてるんでしょうか。
とすると、太郎君の年齢は100+10a+b
次郎君の年齢は92+10a+b、かつ14(1+a+b)
だから92+10a+b=14(1+a+b)
したがって4a+13b=78
これならいけそうです。
b=(78-4a)/13
これを満たすa・bの組み合わせは a=0、b=6
というわけで太郎君は106歳。次郎君は98歳です。
確かに条件は満たしていますけど「君」なんていう年齢ではないですねぇ・・・。
【問題4】

これより
DF=AF−AD=15
CE=CH−EH=14
FH=CH−CF=13
EF=CF−CE=11
BC=BE−CE=13
FG=DG−DF=7
DE=DF−EF=4
GH=FH−FG=6
CD=CE−DE=10

よって、AB=AD−(BC+CD)=5
答え:5km
◆神奈川県 ココちゃん さんからの解答。
【問題4】
ある鉄道の線路に、下り方向に向かってA.B.C.D.E.F.G.Hという8つの駅があるので
A-D=28km、A-F=43km、B-E=27km、C-F=25km、
D-G=22km、C-H=38km、E-H=24km より
A--D =28km
D--G =22km G=50
A----F =43km
C--F =25km A-C=18
C----H=38km A------H=56
E--H=24km A---E=32
B--E =27km AB=5となるので5kmです。◆宮城県 甘泉法師 さんからのコメント。
【問題5−2】
直行便がN路線出ているとして最大の空港の数がN2+1 との予想があり、
N=1,2,3については成り立ち、つなぎ方がわかっていますが、N=4のつなぎかたがわかりません。
この予想は正しいのでしょうか。
◆愛知県 Y.M.Ojisan さんからの解答。
【問題5 ◆宮城県 甘泉法師 さんからのコメント。】
【解答】 予想は正しくありません。
PCで虱潰しに調べたところ、17空港は不可能で15空港が最大でした。
15空港の場合であれば、N=3の唯一解を重複させる解があります。
下図N=3参照。


これらは5角形が基本になっており、
ここから 最大空港数の予想=5×(N−1) が得られかつ、それは可能です。
下図参照。
黒線は 上図N=3の黒線5航路をまとめたベクトルです。
また金星は5空港とこれを循環する5航路です。

しかし、この予想は最大ではないようです。
最初の図のN=4の図の←→で示す航路は緑の空港経由で代用できます。
従って、緑のような金星が5個以上あれば 青グループとシアングループ間の航路は不要になります。
この関係を最大限無駄なく利用できるNを考えるとそれはN=7であって、このとき50空港が可能です。
つまりN=7では清川さんの予想どおりとなります。
(下図参照、航路は1セットのみ描画。)
具体的には金星10グループを赤組5☆、緑組5☆にわけ、各組間は航路を設けず、相手組空港を経由して自分組空港と結びます。
5が素数であるため、そのような設定を全ての空港間に対して実現可能です。

【プログラムの考え方】
空港間の航路の有無を行列 A であらわすこととします。
ここで A(i,j)はi空港とj空港間に航路があるとき1、ないとき0という値をとります。
また A(i,i)=1とします。
従ってAは 対称で、対角成分が全て1、各行ないし列の和がN+1である行列です。
題意を満たす Aは A2の各成分が正であるもとなります。
下記はN=7 空港数50に対応するAとA2です。
絵をクリックすると大きくなります。
| A N=7 Port=50 | A2 |
|---|---|
![]() |
![]() |
【感想】
かなり面白く深い問題です。
N=4は虱潰しできましたが N=5、6はかなり工夫しないとPCでは無理みたいです。
何とか N=5 の 場合の最大値をPCで見つけたいですね。
26より少ないと推定されます。
◆愛知県 Y.M.Ojisan さんからの解答。
【問題5 解答続編】
N=5の場合に関しPCで探索ができました。
最大は24空港でした。
下図に対応する行列Aと実際のつなぎ方を示します。
このパターンしかないようです。
| 行列 N=5 空港=24 | 経路図 |
|---|---|
![]() |
![]() |
【探索方法 概要】
空港数=26の場合
対称性を考慮して経路の必須パターンを考慮すると下図が得られ、0番から9番までのつなぎ方が決定できる。
したがって、残り16空港からの経路をPCにより虱潰し探索したところ解はなかった。
なお、6,7,8,9番からの経路がこのように定まるのは、1番と10番以降の16空港をつなぐにはこの経路パターンしかないからである。

空港数=25,23,21の場合
奇数空港数の場合、5×奇数は奇数であり、4方向しか使えない空港が1空港発生する。
これを0番空港とする。
このとき、0番から接続可能な空港の数は最大21である。
すなわち、空港数25,23はできない。
21空港の場合、対称性を考慮して経路の必須パターンを考慮すると下図が得られ、0番から4番までのつなぎ方が決定できる。
5番から8番の残りの各1方向と、9番以降の12空港からの経路をPCにより虱潰し探索したところ解は多数合った。
即ち21空港は可能である。
具体的な経路は、空港数=22の解の5番空港をはずしたもの等がある。

空港数=24の場合
対称性を考慮して経路の必須パターンを考慮すると下図の一部が得られる。
さらに、1番空港からの経路のうち2方向が8番と9番に接続する場合を設定し、必須経路を考慮すると下図が得られる。
そして残りの部分をPCにより虱潰し探索すると、解答の経路が得られた。

空港数=22の場合
下図に示すように、22空港も可能である。
他にもう1パターンあることを確認しているが、それ以上は探索していない。
4番空港と同一なつながり方をしている5番空港をはずすことで、21空港の経路にもなる。
| 行列 N=5 空港=22 | 経路図 |
|---|---|
![]() |
![]() |
◆広島県 清川 育男 さんからのコメント。
Y.M.Ojisan さんの解答から数列サイトを検索して一般項を推理してみました。
| m=[ | n+1 2 | ], [ ]はガウスの記号とする。 |
| A(n)=3*2m+2*m-6+(2m+1)* | 1+(-1)n 2 |
2 5 10 15 24 33 50 67 100 133 198 263 392 521 778 1035 1548 2061 3086 4111
階差数列は興味深い数列のようです。
3, 5 , 5 , 9 , 9 , 17 ,17, 33 , 33 , 65 , 65 ,129 ,129 , 257 ,257 , 513 , 513 ,1025 ,1025
2n+1