◆滋賀県 ippei さんからの解答。
【問題5】
第1象限および軸上に点を次のようにとる。
a(0,a),B(0,0),C(c,0),D(c,d),E(e,d),F(e,a)
3直線の方程式は
| y= | d-a c |
x+a (1) |
| y= | d e |
x (2) |
| y= | -a c-e |
(x-c) (3) |
(1)(2) の連立した解も (2)(3) の解もともに
| x= | ace cd-de+ae |
,y= | acd cd-de+ae |
となるから、3直線は1点で交わる。
◆千葉県 なのはな子 さんからの解答。
【問題3】

◆山梨県 Footmark さんからの解答。
【問題3】
【答え】 窓ガラスを割ったのはトム。
本当のことを言っているのが、ジョンとピーターとかジョージ。
うそをついているのが、トムとステファン。
5人を1人ずつ順に犯人と仮定すると、トム以外のときは「うそ」が3人になるので判明します。
[ P・S ]
トム:「ジョンもピーターもうそをついています。」
ステファン:「いいえ、ジョンとピーターのうち、一人だけうそをついています。」
トムとステファンの主張は背反的で2人とも「本当」はあり得ない。
故に、どちらか1人が「本当」で、どちらか1人が「うそ」。
とすると、みごと落とし穴に落ちてしまいます。
2人とも「本当」の否定は、「本当」と「うそ」だけでなく、2人とも「うそ」もあります。
本問の場合はトムとステファンの主張は2人とも「うそ」です。
つまり、ジョンもピーターも本当のことを言っている場合にそうなります。
◆山梨県 Footmark さんからの解答。
【問題4】(1)
以後、{ }の記号は計算上紛らわしいので【 】に置き換えて表現する。
3以上のすべての整数nにおいて、
| a=± | n± 2 |
は条件を満たす。 |
何故なら、3以上の整数nなら、
は明らかに無理数。
| ∴ 0<【± | n± 2 |
】<1 |
| また、± | n+ 2 |
と ± | n− 2 |
とは、互いに逆数同士。 |
∴
| 【a+ | 1 a | 】 |
| =【±( | n+ 2 |
+ | n− 2 |
)】 |
| =【±n】 |
| =0 |
以上より、
| 【a】+【 | 1 a | 】=1 |
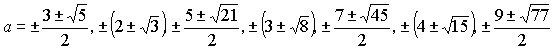
nの小さい順に例を示す。

【問題4】(2) [証明]
明らかに、a≠0。
| a+ | 1 a | =±n。(ただし、nは正整数。) |
| ∴ a=± | n± 2 |
●n=1なら、aは実数とはならないので条件に反する。
●n=2なら、a=±1。
| ∴ 【a】+【 | 1 a | 】=0≠1 |
条件を満たさない。
n≧3なら、明らかに(1)で示したように、
| a=± | n± 2 |
は条件を満たす。 |
以上より、
| a=± | n± 2 |
(ただし、nは3以上の整数) |
| ± | n± 2 |
は明らかに無理数。 |
よって、aは無理数である。
証明終わり。
[ P・S ]
実数 x の小数部分を 【x】と書くことにします。
なのか、
【x】= x - [x] です。( [ ] はガウス記号)
なのか、今一はっきりしません。
前者であるなら、【−1.2】=−0.2
後者であるなら、【−1.2】=0.8
(後者なら、常に【x】≧0。)
後者の意味なら、
実数 x において、【x】= x - [x] とします。( [ ] はガウス記号)
だけの方がよかったのでは‥。
解答は後者ですが、前者ならa>0でないと条件を満たさないのは明らか。
| よって、a= | n± 2 |
◆愛知県 Y.M.Ojisan さんからの解答。
【問題2】
(1)∵
| 9 11 | = | 1 A | + | 1 B | + | 1 C |
ABCをかけると、
9ABC=11(AB+BC+CA) であり、A,B,Cの何れかは11の倍数。
| また、 | 9 11 | /3 = | 3 11 | > | 1 11 |
であるから、Aは11未満。 |
| A=2としても、( | 9 11 | - | 1 2 | )/2 = | 7 44 | > | 1 11 |
| よって C= | 1 11m | 、m:自然数でなければならず、 |
| C≦ | 1 11 |
| これより | 1 A | + | 1 B | ≧ | 8 11 |
| よって | 1 A | ≧ | 4 11 | > | 1 3 |
このようなAは2のみ。A=2を代入すると、
| ( | 9 11 | - | 1 2 | )= | 7 22 | > | 1 B | ≧ | 8 11 | - | 1 2 | = | 5 22 | より |
B=4のみ可能性あり。
| 1 C | = | 9 11 | - | 1 2 | - | 1 4 | = | 3 44 |
よって存在しない。
(2)無い。
| X Y | = | 1 A | + | 1 B | + | 1 C |
| X Y | ∈( | 41 42 | ,1)であるとするとまず、A=2である。 |
∵もしA≧3とするとA=B=C=3の時
| 1 A | + | 1 B | + | 1 C | =1で範囲外である。 |
次に小さい数は A=B=3 C=4であって、
| 1 A | + | 1 B | + | 1 C | = | 11 12 | < | 41 42 |
| そのほかの組み合わせはさらに | 41 42 | より小さい。 |
よって、A=2である。
| 従って問題は | X Y | = | 1 B | + | 1 C |
| 2≦B≦C、B,C:整数、 | X Y | ∈( | 10 21 | , | 1 2 | ) |
B=2では既に範囲外であるから実際には3≦B≦Cである。
| 一方B=C=5では | 1 5 | + | 1 5 | = | 2 5 | < | 10 21 |
(B=3)の場合
| 1 C |
∈( | 41 42 | - | 1 2 | - | 1 3 |
,1- | 1 2 | - | 1 3 | ) = ( | 1 7 | , | 1 6 | ) |
(B=4)の場合
| 1 C |
∈( | 41 42 | - | 1 2 | - | 1 4 |
,1- | 1 2 | - | 1 4 | ) = ( | 19 84 | , | 1 4 | ) |
| 84 19 |
<5だからその様な整数C≧4は無い。 |
【感想】
うまく考えられた問題ですね。
【問題6】
下図のように4面体は可能である。

面が全部3角形である任意の単一領域の多面体の集合をΣとする。
S∈Σは、何れかの辺を長さ0に縮めることにより、
頂点の数が1、面の数が2、辺の数が3少ないS’∈Σに変形が可能である。
以後これを繰り返すことによりSは塗り分け可能な4面体∈Σまで変形可能である。
下図

従って、次の規則で辺に色をつけながら、逆の手順をたどって、4面体から元のSにたどり着けば、完成した塗り分けは題意を満たす塗り分けである。
(1)逆順において元に戻す2面(3角形)の共通辺(長さをもどす辺)を除く辺の色は、重なっていたときの辺の色を継承する。
下図参照。
(2)共通の辺の色は、(1)で継承した辺の色と異なる色を塗る。継承した色が2色あるときはどちらでも良い
(下図では赤)。

以上のように塗り分けると、上図のように分離された点A,B間には赤のみ経路と青のみ経路が必ず存在し、実質1つの点と同じである。
よって、開く前の状態において、題意を満たす2経路が存在していれば、開いた後も任意の点間で青経路、赤経路が存在する。
【PS】
凸体より単連結体のほうが証明しやすいので範囲を拡大しました。
【問題7】
20以下の素数は 2,3,5,7,11,13,17,19の8個である。
従って、10個の自然数は
N=2A3B5C7D11E13F17G19Hで表される。
ここでA〜Hは非負整数であるが、積が平方数であるかどうかだけが問題なので、偶奇性だけ考えればよく、A〜Hは0か1に限定してよい。
また、各Nを選ぶか選ばないかも0か1をかけることに対応させうるので、
Nを[A,B,C,D,E,F,G,H]というベクトルで表わせば、2を法とする8次元の有限体(拡大ガロア体)における10個のベクトルは独立かという問題に等価である。
これは線形代数の基本であり独立にはできない。
即ち、10個より少ない9個あればそのうちから幾つか選らんで積を平方数にできる。
具体的には各Nを行として並べた9×8の行列を作成し、行間の演算による逆行列の求め方の方法で上三角行列化してゆけば、少なくとも9行目は0ベクトルにできる。
そのときの演算操作の合計値(2を法とするので0か1)で各ベ各Nの採否を決めればよい。
【PS】
9個でよいのでは?
◆神奈川県 クラテス さんからの解答。
【問題1】

∠BAC=8x、∠ABC=4x、∠BCA=2xとし、
∠BAC,∠ABC,∠BCAと対辺との交点をそれぞれ、D,E,Fとし、内心をGとする。
このとき14x=180度である。
またFを通りADに平行な直線を引きBCとの交点をHとする。
僣FCと僊FCにおいて
∠HFC=∠DGC=∠GAC+∠GCA=5x
∠CFA=∠FBC+∠FCB=5xより、
∠HFC=∠CFA
∠FCH=∠FCA=x
FC共通より
△HFC≡△AFC(二辺とその間の角相等)
よって、FH=FAである。
∠HBF=4x、∠HFB=∠DAB=4xより
∠HBF=∠HFBとなるから、△HBFは二等辺三角形である。
同様に△AFG(両底角5x),△GAE(両底角4x)も二等辺三角形である。
これより、FA=GA=GEとなる。
つまり△HBFと△GAEは合同な二等辺三角形である。
よって、FB=EAである。
△DFBと△DEAにおいて、
FB=EA
△DABは二等辺三角形だからBD=AD
∠FBD=∠EAD=4xより、
△DFB≡△DEA(二辺とその間の角相等)
結局DF=DEとなり△DEFは二等辺三角形となる。
【問題8】
f(x)=ax2+bx+c,g(x)=cx2+bx+aとする。
|x|≦1で|g(x)|≦2であるためには
|x|≦1で|f(x)|≦1だから
|g(x)−f(x)|≦3
→
|c−a||x2−1|≦3
→
|c−a|≦3
であることを示せば十分である。
(∵|x|≦1で|x2−1|≦1)
|x|≦1で|f(x)|≦1より、
|f(-1)|≦1
→
−1≦a−b+c≦1・・・(1)
|f(0)|≦1
→
−1≦c≦1・・・(2)
|f(1)|≦1
→
−1≦a+b+c≦1・・・(3)
(1)、(2)より
−2≦a−b≦2・・・(4)
(2)、(3)より
−2≦a+b≦2・・・(5)
(4)、(5)より
−2≦a≦2・・・(6)
(2)、(6)から
|c−a|≦3となる。
よって題意は示された。
◆滋賀県 ippei さんからの解答。
【問題7】
Y.M.Ojisan さんの用語を使わさせて頂きます。
20以下の素数は 2,3,5,7,11,13,17,19の8個である。
従って、10個の自然数は
N=2A3B5C7D11E13F17G19Hで表される。
ここでA〜Hは非負整数であるが、積が平方数であるかどうかだけが問題なので、偶奇性だけ考えればよく、 A〜Hは0か1に限定してよい。
できる数に着目すれば、28=256通りの奇偶のパターンがある。
1個から10個までの数の積は
10C1+10C2+....+10C9+10C10=210ー1=1023とおり
1023÷256=3 余り255 なので鳩の巣原理より少なくとも4つのパターンで奇偶が一致する。
したがってこのなかの適当な2つものの積を考えると、できた数は平方数である。
<ps>
511÷256=1あまり255なので 9個の自然数でぴったり。
◆山梨県 Footmark さんからの解答。
【問題7】
平方数でない自然数なら、全素因数における各指数の内に、奇数である指数が少なくとも1つは存在しなければならない。
その上、あるn種類の素因数しか許さないとすると、
全素因数における各指数の偶奇パターンは
明らかに(2n−1)通りある。
(以後、「全素因数における各指数の偶奇パターン」のことを、簡単に「パターン」と呼ぶものとする。)
一方、1個以上のどのような積も平方数とはならないn個の自然数を考えてみる。
(n個の素数をそのままn個の自然数としてもそうであるように、明らかにそのようなn個の自然数は存在する。)
n個の自然数において、その内の1個以上の積は、同様に(2n−1)通りある。
また、(2n−1)通りのどのような積も平方数とはならないので、
(2n−1)通りの積に同一パターンが存在してはならない。
結局、許される(2n−1)通りの各パターンに、
(2n−1)通りの各積がそれぞれ1個ずつ存在することになる。
自然数を1個増やすと積は(2n+1−1)通りに増えるが、許されるパターンは不変である。
すると、追加した自然数が因数となる新たに増えた積にとっては、どのパターンにも既に先客の積が存在する。
それ故、n種類の素因数による(n+1)個の自然数では、その内のある1個以上の積は必ず平方数となる。
ところで、20以下の素数は、2,3,5,7,11,13,17,19 の8個。
よって、8種類の素因数による9個の自然数では、9個の内のある1個以上の積は必ず平方数となる。