◆岡山県 藤井 さんからの解答。
【問題2】
平面全体で考えるとやっかいなので、a×a の1つのタイル内で考えます。
針の中心をこのタイル内にとり、その時タイルの周りと交わる角度が取り得る範囲を考えます。
(1つのタイル内で考えるかわりに、円環面内で考えても同じ(だと思う)で、この場合扱う全体は
円環面の3次元版になります(円周×円周×円周)。)
扱う全体の大きさは 2πa2。
タイルを次の3つの部分に分けます。(a ≧ l)
(1) どの辺からの距離も l/2 を越える部分。
(2) 各頂点からの距離が l/2 以内の部分。
(3) ある1辺からの距離は l/2 以内だが、他の辺からの距離はl/2 を越える部分。
(4) 各頂点からの距離が l/2 を越え、ある2辺からの距離が l/2 以内の部分。
(1) の場合、どの角度でも交わることがない。
(2) の場合、どの角度でも常に交わる。
(3) の場合、1つの辺と交わる。
(4) の場合、2つの辺と交わる。ただし、同時に2つの辺とは交わらない。
このことから、(1), (2)の場合はすぐに求まる。
(1) 0
(2) 半径 l/2 の円の面積 × 2π = (πl)2 / 2
(3) の場合を考える。
交わる辺からの距離を x として、
2x/l = cos θ と置けば、交わる角度の範囲は
合計 4θ= 4 Arccos 2x/l あることがわかる。
(この図だと、上、下、それぞれの向きを180度かえたもの)
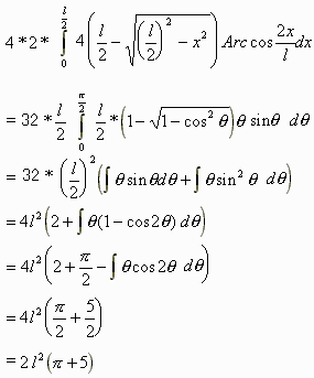
また、(3) の1つ分は、

となっていて、4個所あるので。
| 4(a-l) |
l/2 ∫ 0 | 4 Arccos 2x/l dx |
| =16(a-l)* l/2 | ∫ θ sin θ dθ |
(4) の場合は、1つ分が、
となっており、交わる1辺からの距離を x とすれば、そこでの幅は、
である。
(l/2 から 半径 l/2 の円の部分を除くため)
4個所、2辺について求めるため、

これらから、針がタイルの周と交わる確率 p は、
p = (8(a-l)l +2 l2(π + 5) + (πl)2 / 2)/(2πa2)
= l((π2/2 + 2π + 2)l + 8a)/(2πa2)
= (l/a)2(π/4 + 1 + 1/π) + 4(l/a)/π
となる。
立方体で考えるとどうなるのだろうか?
◆愛知県 juin さんからの解答。
【問題2】
正方形の1辺の長さa,針の長さ1。
まず、間隔aで引かれた直線と針が交わる確率を求める(ビュフォンの針)
針の中心x,針が水平線となす角θとし、[0,a)×[0,π)で考える。
| 交わる時は、x< | 1 2 |
sinθまたは、a-x< | 1 2 |
sinθだから、 |
| ∫ | 1 2 |
sinθ dθ+∫ | 1 2 |
sinθ dθ=1+1=2 |
| よって確率は | 2 aπ |
A={水平線と交わる},B={垂直線と交わる}とする。
P(A∪B)を求める。
P(A∪B)=P(A)+P(B)-P(A∩B)
| P(A)=P(B)= | 2 aπ | だから、P(A∩B)を求める。 |
θを1つ固定する、つまり、条件付き確率を考える。
| ● | π 2 | <θ<π | のとき、 |
| =P(x<- | 1 2 |
cosθ,y< | 1 2 |
sinθ|θ) |
| =P(x<- | 1 2 |
cosθ|θ)・P(y< | 1 2 |
sinθ|θ) |
| =- | 1 2a |
cosθ | × | 1 2a |
sinθ |
| = | cosθsinθ -4a2 |
| θで[ | π 2 |
,π)の範囲で積分して、 |
| ∫P(C|θ)P(dθ)=∫ | cosθsinθ -4a2 |
dθ= | 1 8a2 |
| ● 0<θ< | π 2 | のとき、 |
P(C|θ)
| =P(x< | 1 2 |
cosθ,y< | 1 2 |
sinθ|θ) |
| =P(x< | 1 2 |
cosθ|θ)・P(y< | 1 2 |
sinθ|θ) |
| = | 1 2a |
cosθ | × | 1 2a |
sinθ |
| = | cosθsinθ 4a2 |
| θで[0, | π 2 |
)の範囲で積分して、 | 1 8a2 |
となる。 |
| よって、[ | π 2 | ,π)の場合と合計して、P(C)= | 1 4a2 |
| P(A∩B)=4× | 1 4a2 | = | 1 a2 |
| P(A∪B)= | 2 aπ |
+ | 2 aπ | - | 1 a2 |
= | 4 aπ | - | 1 a2 |
となる。 |
◆愛知県 juin さんからの解答。
【問題3】
正6角形の頂点を反時計周りにA,B,C,D,E,Fとする。
時計の数字と対応させると、11時、9時7時、5時、3時、1時となる。
Cを原点とし、CDをx軸に重ねる。
CAをy軸に重ねる。
k1={CDと平行な直線と針が交わる},
k2={BCと平行な直線と交わる},
k3={ABと平行な直線と交わる}とする。
P(k1∪k2∪k3)を求める。
| P(k1)= | 4 aπ3 |
となる。 |
理由。
CD,FA,対角線BEなど、
| 間隔 | a 2 |
で引かれた直線と針が交わる確率は |
2
|
= | 4 aπ |
| P(k1)= | 4 aπ3 |
P(k1∩k2∩k3)=0だから、P(k1∩k2)を求める。
正6角形の内部に針の中心が落ち、針とx軸とが作る角を考え、直積空間に直積確率をいれる。
| 正6角形の面積は | 3a2 2 | 、 |
Cの近くで2辺と交わる場合を計算する。
| 0≦θ< | π 3 | のとき。 |
| P(Cの近くで2辺と交わる|θ)=( | cosθ 2 | - | sinθcosθ | ) | sinθ 4 | となる。 |
| [0, | π 3 | )の範囲で、θで積分すると | 1 64 | となる。 |
| [ | π 3 | , | 2π 3 | )の場合も同じで | 1 64 | 。 |
| [ | 2π 3 | ,π)の場合、条件付き確率は |
| 1 2 | 4sinθsin(θ- | 2π 3 | )・ | 6 | となり、 |
| [ | 2π 3 | ,π)の範囲でθで積分して | 1 4 | - | π 12 |
| 合計 | 1 64 | + | 1 64 | + | 1 4 |
- | π 12 |
= | 9 32 | - | π 12 |
6つの頂点で同じ値だから
P(k1∩k2)+P(k2∩k3)+P(k3∩k1)
| =6( | 9 32 |
- | π 12 |
)/( | 3a2 2 |
π) |
| = | 9 8 |
- | 1 9a2 |
求める確率は
P(k1∪k2∪k3)
| = | 3×4 aπ3 | - | 9 8 |
+ | 1 9a2 |
| = | 4 aπ | - | 9 8 |
+ | 1 9a2 | となる。 |