◆愛知県 Y.M.Ojisan さんからの解答。
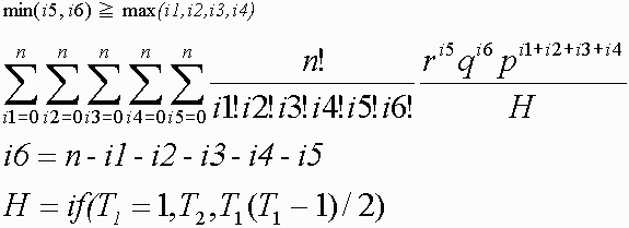
【問題1】
n=25
問題には明記されていないが、確率1/2以外の目の確率は等しいとする。
即ち q=1/2 とするとき その他の確率は
p=(1−q)/5=1/10 である。
確率1/2のものの決め方は、n回ふって最も多いものとする。
ただし同点の場合は早く到達した方とする(*)。
このときの信頼度は下式である。
ここでT1は1位タイの目の数である。
この式の値が0.99以上であればよい。
この式をnの一般式で表すのは無理そうなのでPCによった。

なお、計算プログラムは確実に計算するため素直に次のアルゴリズムとした。
注)
If(L,T,F)はL=trueのときT値 falseのときF値
I∈i1..i2は for I=i1 to i2
Floor(X)=[X] である。
(*)一番多いのが1/2の物とする決め方が最もnを小さくする方法かどうかは自明ではない。
nをより小さくするためにはたとえば i5=10個 i6=9個のときも9個の方が1/2の方であるという判断基準が必要である。
しかし、連続的に出るとかでこれを救済したとしても、逆にi5=9個 i6=10個のときにより高い率で発生する同じ並びのものを捨てることになり、総合で得ではない。
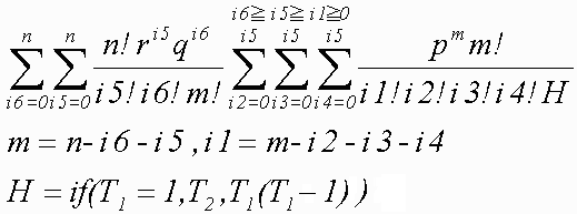
【問題2】
n=26
問題には明記されていないが、確率1/2と1/3以外の目の確率は等しいとする。
また「これらの数がなにか」の表現はどちらが1/2かは問わないの意味とします。
よって、q=1/2 r=1/3 とするとき その他の確率は
p=(1−q−r)/4=1/24 とします。
確率1/2 1/3のものの決め方は、n回ふって最も多いものから2つとする。
ただし同点の場合は早く到達した方とする。
このときの信頼度は下式である。
ここでT1は1位タイの目の数、T2は2位タイの目の数である。
この式の値が0.99以上であればよい。

この式をnの一般式で表すのは無理そうなのでPCによった。
なお、計算プログラムは確実に計算するため素直に次のアルゴリズムとした。

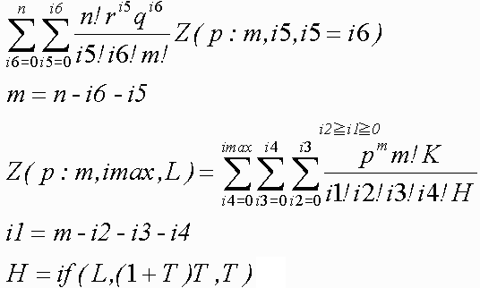
【問題2 判別つきの場合】
n=160
確率1/2 1/3のものを判別する場合も計算しておこう。
この場合、素直なアルゴリズムでは計算に時間がかかるので、基本式を下記に書き換え、

これを次の形で計算する。
ここでのTはimaxに等しいi1〜i4の数+1である。
またKはi1〜i4の目のパターンにより決まる数であり、
出た数の多い順にその数を(K1 K2)とするとき
K=24/(K1!K2!)である。
具体的にはK(4,0)=1 K(3,1)=4 K(2,2)=6 K(2,1)=12 K(1,1)=24
関数Zは主に2次元(m,imax)の関数であって、論理値Lにより2種ある。
なお、 imax>mのときZ=pm、imax<m /4のときZ=0である。
Zを予め必要と推定される部分で求めておくことにより、高速化される。
mおよびimax(≦m)としては、1/2 と 1/3 の確率のもののみで考えたときのnの最小値133が、割合で5/6になる159.6+α程度までを計算しておけばよい。
200まで計算しておいたが、答えは160であり、殆ど1/2と1/3のものの順位付けで決まっているようである。
◆出題者のコメント。
Y.M.Ojisan さん、すごいです。
この問題と一円玉の問題。どちらも私の想像を遙かに超えています。
まず、謝らなくてはいけないことがあります。Y.M.Ojisan さんも気がついたとおり、
「問題には明記されていないが、確率1/2以外の目の確率は等しいとする。」
の部分が抜けていました。申し訳ありません。
もっというと、私はこの条件にはふれなくても、さらに一般的な場合において解法を示してくださると考えていました。
つまり、この部分は私としては意図的に抜かしたところです。
しかし、Y.M.Ojisan さんが示したようにこの問題実際に計算しようとすると、簡単にはすまないようですね。
本当にすごいと思います。
◆富山県 萩の葉 さんからの解答(質問)。
【問題1】
25回
最初1/2の目が2回以上出る確率が99%以上になればよいと考え、
1/2の目が2回未満出る確率(n+1)*(1/2)nが1%未満になるのはn=11
11回振ればよいと思ったのですが、Y.M.Ojisan氏の解答を見て・・・!!!
確かに11回では残りの1/10の目の内の一つが2回以上出る確率が30.264%にもなってしまい、これでは判断がつかない・・・
そこでn回振った時1/2の目がm回以上出る確率が99%を超え、しかも1/10の目がm回以上出る確率が1%未満となるようなnをExcelを使って探しました。
Excelの設定はうまく説明できないのですが、たとえば1/10の目をaとすると
| A | B | C | D | |
| 1回振った時 | 2回振った時 | 3回振った時 | ||
| 1 | aが0回出る | 9/10 | B1*9/10 | C1*9/10 |
| 2 | aが1回出る | 1/10 | B1*1/10+B2*9/10 | C1*1/10+C2*9/10 |
| 3 | aが2回出る | B2*1/10 | C2*1/10+C3*9/10 | |
| 4 | aが3回出る | C2*1/10 |
という感じです。
たとえば22回振ると1/2の目が6回以上出る確率は99%以上となるのですが、1/10の目が6回以上出る確率が1%を超えてしまう。
25回振った時初めて、1/2の目が7回以上出る確率が99%以上、99.268%となり、しかも1/10の目が7回以上出る確率が1%未満、0.948%となる。
「25回!」これはいけると勇気百倍・・・
【問題2】
189回 同じ方法で1/2と1/3の目を識別すべく、n回振った時1/2の目がm回出る確率が99%を超え、しかも1/3の目がm回出る確率が1%未満となるようなnをExcelを使って探しました。
すると159回振った時には1/2の目が65回以上出る確率が99%以上となるのですが、1/3の目が65回以上出る確率が1%を超えてしまう。
同様に161回振った時にも1/2の目が66回以上出る確率が99%以上となるのですが、1/3の目が66回以上出る確率が1%を超えてしまう。
189回振った時に初めて1/2の目が79回以上出る確率が99%以上の99.016%となり、しかも1/3の目が79回以上出る確率が1%未満の0.919%となる。
「189回?」私はどこで間違えたのでしょうか?
「99%以上の確率で、ある目を特定できる」という部分の解釈が違うのでしょうか?
Y.M.Ojisan氏の解答は難しすぎて全くわかりません。
どなたか教えていただけないでしょうか。
◆愛知県 Y.M.Ojisan さんからのコメント。
萩の葉 さん の方法は下図の緑の領域を判定できる領域として計算していることになります。
即ち、判定可能な黄色の部分を損しています。
一方、緑の領域の確率は99%ではなく、99%×99%=98%です。
問題1ではその状況がうまく相殺し、問題2では黄色の部分が1%より少し多いため、結果が違ってきたわけです。
どちらもm回より多かったり、少なかったりしたときどうするのか等のルール設定が不明なので、このようなコメントとしましたが、違っていればまた質問ください。
