◆山梨県 Footmark さんからの解答。
△AOCと△ABCと△ADCは3辺が等しいので合同です。
△BODと△BADと△BCDも3辺が等しいので合同です。
よって、△AOCと△BODは合同で、直角2等辺三角形です。
しかも、この2つの三角形はどちらも底面に垂直です。
さらに、この2つの三角形同士はお互いに直交しています。
正四角錐O-ABCDの体積は明らかに
(6*6)(3 ) 3 |
p3=36 p3 |

点Pと点Bは与えられているので、点Qの位置さえ決まれば点Rの位置も一意に決まります。
(何故なら、直線上にない3点を含む平面は1つしかない)
線分OQの長さを Mp とし、その時の線分ORの長さを Np とします。
(ただし、0<M≦6)
また、明らかに線分OPの長さは 4p です。
四角錐O-PBQRの体積Vは、△AOCの面で切断して、
| 底面積が | 4M 2 |
の2つの三角錐を合わせたものと考えると、 |
| それぞれの高さは、 | 6![]() |
と | N![]() |
です。 |
| ∴ V= | 2M(N+6) 3 ![]() |
△BODの面で切断して、
| 底面積が | 6N 2 |
の2つの三角錐を合わせたものと考えると、 |
| それぞれの高さは、 | 4![]() |
と | M![]() |
です。 |
| ∴ V= | (M+4)N![]() |
| ∴ | 2M(N+6) 3 ![]() | = | (M+4)N![]() |
| ∴ N= | 12M M+12 |
そこで、四角錐O-PBQRの体積Vを M だけで表すと
| V= | 12M(M+4) (M+12) |
【問題1】
明らかに M=2 なので、これをVの式に代入すると
| V= | 36![]() 7 |
【答え】
36![]() 7 | p3 |
【問題2】
正四角錐O-ABCDの体積の半分は、18
ですから、
12M(M+4) (M+12) | =18![]() |
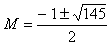
∴ M2+M−36=0
これを解くと、![]()
ところが M>0 なので、![]()
【答え】
p
{P・S}
中学生の幾何では名問題だと思います。
◆出題者のコメント。
正解です。
このような解法を待っていました。
これだと中学生でも解答できる手法ですね。
本問題はP,Qが中点の時、Rの位置を求める問題の改良でした。
底面の中心をSとする時、OS,BR,PQは一点で交わります。
これを用いてRの位置を定めて、体積を求めるというのが私が持っている解答でした。
その解答に比べて、Footmarkさんの解答は実に簡潔でよいと思います。