◆静岡県 ヨッシー さんからの解答。
単位円のまわりを半径1/nの円が回転する 外サイクロイドの式を求めます。

図において、半直線ABのx軸との角度がθであるとき、点Bの座標は、
| x=(1+ | 1 n | )cosθ |
| y=(1+ | 1 n | )sinθ |
BPの角度は(1+n)θ−π なので、点Pの座標は、
| x=(1+ | 1 n | )cosθ− | 1 n | cos(1+n)θ |
| y=(1+ | 1 n | )sinθ− | 1 n | sin(1+n)θ |
n=1 および n=2 とおくと、
【問題1】の答え
x=2cosθ−cos2θ
y=2sinθ−sin2θ

【問題2】の答え
| x= | 3 2 | cosθ− | 1 2 | cos3θ |
| y= | 3 2 | sinθ− | 1 2 | sin3θ |

次に、単位円のまわりを半径1/nの円が回転する 内サイクロイドの式を求めます。

図において、半直線ABのx軸との角度がθであるとき、 点Bの座標は、
| x=(1− | 1 n | )cosθ |
| y=(1− | 1 n | )sinθ |
BPの角度は(1−n)θ なので、点Pの座標は、
| x=(1− | 1 n | )cosθ+ | 1 n | cos(1-n)θ |
| y=(1− | 1 n | )sinθ+ | 1 n | sin(1-n)θ |
結局、外サイクロイドの式において、nの値を負にとると 内サイクロイドの式になります。
n=2とおくと、
【問題3】の答え
| x= | 1 2 | cosθ+ | 1 2 | cos(−θ)=cosθ |
| y= | 1 2 | sinθ+ | 1 2 | sin(−θ)=0 |

【問題4】
半径比が、1:1/n のときのサイクロイドは、
下図のように 0〜2π/n までのサイクロイドのn回の繰り返しになっています。
そこで、この範囲のサイクロイドの長さを求め、n倍することにします。

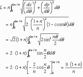
| x=(1+ | 1 n | )cosθ− | 1 n | cos(1+n)θ |
| y=(1+ | 1 n | )sinθ− | 1 n | sin(1+n)θ |
の長さLは、

となります。
【問題5】
n→∞ のとき、Lは8に収束します。
こちらもご覧下さい。