◆静岡県 ヨッシーさんからの解答。
【問題1】
まず思いついたのが、
『直径aの円柱を交わらせたときの共通部分』です(図参照)。

でも、この場合、平面図に線がついてしまいます。
他に思いつかないので、このまま体積を求めます(強引な)。
【問題2】
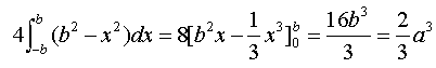
図のように、x軸をとり、x軸に垂直な面でこの立体を切ると、正方形になります。

| これを - | a 2 |
〜 | a 2 |
まで積分します。 |
| 簡単のため、b= | a 2 |
と置きます。 |
切り口の正方形の1辺の長さは
ですから、
面積は、4(b2−x2)です。
よって、

| 答え | 2 3 | a3 |
式の羅列じゃないということは、やっぱり間違ってるのかなぁ。
【コメント】
ここはやっぱりGOFY・和人 さんにコメントをお願いしましょう。
GOFYさん、飲んでいる場合じゃないですよ。
【GOFY・和人 さんからのコメント】
問1コメント:
平面図に線・・確かにヨッシーさんのご指摘、正しいのら。
平面図の真ん中あたりは、ぼんやりするんらけれろ。
線を入れると形がバレちゃうからズルしたのらよ。ごみんなさい。
ヨッシーさん、強引ではなく、あんたわ正しい!
問2コメント:
数式のろれつが回らない??
ろれつはどうでもいいんら。
んねぇ、こんな問題があったれひょ、
「与えられた円とおにゃじ面積の正方形を定規とコンパシュで描け」
この問題・・たひか「将棋とコンパスでπを求めよ」に還元しゅるんだにょな。
文字通り無理数だんね。
◆東京都 eikiさんからの解答。
【速報】として答えます。
形は、直交する水道管の共通部分、あるいは、空缶に詰めて固めた土を取り出して、横から空缶で切る、といった感じ。
体積は。。。
球を薄くスライスした微小高さの円柱で積分したものと考え、この立体は薄くスライスした微小高さの正4角柱で積分したものと考えると
球:この立体=π:4になるはず。
| したがって | 2 3 | a3 |
どちらも検証していないので、検証できたら【確報】として送るつもりです。



◆東京都 eikiさんからの解答。
【確報】です。
微小高さの円柱(正4角柱)を中心角の関数と見て3角関数で積分しようと苦労していたのですが、
より底面積を計算すれば簡単に積分できました。
円柱の底面積 =π×Y2
正4角柱の底面積 = 4×Y2
したがって、球の体積:この立体の体積 =π:4 だから
| 球の体積 = | 4 3 | π×半径3より |
| 16 3 | ×半径3となります。 |
| この立体の半径は | a 2 | なので、 |
| 答は | 2 3 | a3 |
【コメント】
ようやく確認できました。
間違いなく正解です。
おまけですが、直径aの円柱3つが直角に交わった場合の共通部分の体積も計算できます。
関心のある方は挑戦してみてください。
◆岐阜県 水の流れさんからの解答。
| 直交する半径aの3つの直円柱の共通部分の体積を求めよ。
不等式で表すと、 |
解答
立体Tの概形がわからなくとも、平面スライス形により求めてみる。
TをZ=k(一定)の平面で切った切り口はzの値によって形が異なる。

<参考>
立体Tのモデルは大きな消しゴムを円柱状の型で真上・真横・真正面の3方向から切断すると良い。
*連想としては「栗」がよいかも。
x≧0,y≧0,z≧0 で書いてみます。

立体T1、T2の体積を、それぞれV1,V2とする。
立体Tの体積をVとすると、
| V 8 |
=V1+3V2 ・・・ (*)である。 |
| そこで、立体T1は1辺の長さが | a![]() |
の立方体だから、 |
| その体積V1は、V1=( | a![]() |
) | 3 |
| V1= | a34 | ・・・(1) |
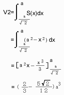
| また、立体T2を平面x=k( | a![]() |
≦k≦a) |
S(k)=
= a2−k2

よって、立体T2の体積V2は

以上より、求める体積Vは、(1)、(2)を(*)に代入して、
| V 8 |
=V1+3V2 |
| = | a34 |
+3( | 2 3 |
− | 5![]() 12 |
a3 | ) |
=(2− )a3 |
∴V=8(2−
)a3 ・・・(答え)