◆愛知県 Y.M.Ojisan さんからの解答。
【感想】
Complex is Easy.
【解答】
複素平面状の 0および1に点A0,B0をとる。
このとき a=r*exp((πーα)i)と置くとき、
A1=-a , A2-A1=-a*a ..... である。
| よって、An=- |
n Σ k=1 | ak |
| すなわち、 An= | -a(1-an) ――――― 1-a |
|a|<1 なので
| A∞= | -a ―――― 1-a |
同様に、b=s*exp(βi)と置くとき、
B0=1 , B1-B0=b
B2-B1=b*b ..... である。
| よって、Bn= |
n Σ k=0 | bk |
| すなわち、 Bn-1= | 1-bn ――――― 1-b |
|b|<1 なので
| B∞= | 1 ―――― 1-b |
答えは
|A∞-B∞|
| =| | a ―――― 1-a | + | 1 ―――― 1-b | | |
| =| | 1 ――――― 1-1/a | - | 1 ―――― 1-b | | |
| =| | 1 ― a | -b | / |(1- | 1 ― a | )*(1-b)| |
1/a=1/r*cos(α)-1/r*sin(α)i
b = s*cos(β) + s*sin(β)i
代入して計算すると
|A∞-B∞|
=
【追加問題】
ab=1でなければならないが、|ab|<1 なので不可能。
◆神奈川県 @JJJJJJ さんからの解答。
【解答】
Z=r*eiθ、の極座標で考えます。
A(0)=0. B(0)=1.
一般にB(n)は、
B(1)=B(0)+s*eiβ.
B(2)=B(1)+s2*ei2β.
…
B(n)
=B(n-1)+s*einβ
=1+…+sn*einβ
| = | 1-sn+1*ei(n+1)β ――――――――― 1-s*eiβ | . |
となる。
またA(n)は、
A(1)=A(0)+r*ei(π-α).
A(2)=A(1)+r2*ei(π-2α).
…
A(n)
=A(n-1)+r*ei(π-nα)
=-r*e-iα-…-rn*e-inα
| = | -(r*e-iα-rn+1*e-i(n+1)α) ――――――――――― 1-r*e-iα | . |
となる。
0≦r,s<1、だから、
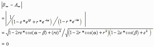
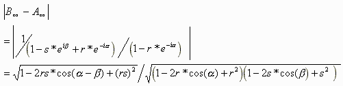
| B∞= | 1 ―――――― 1-s*eiβ | . |
| A∞= | -r*e-iα ―――――― 1-r*e-iα | . |
従って、
【追加問題】

従って、1-2rs*cos(α-β)+(rs)2=0.
0≦r,s<1、の条件のもとでは常に、
1-2rs*cos(α-β)+(rs)2
=(1-rs)2+2rs(1-cos(α-β))>0
だから、A∞B∞は0になることはない。