◆愛知県 juin さんからの解答。
【問題1】
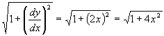
| y=x2を微分して、 | dy dx | =2x. |

となる。
(0,0)から(1,1)までの長さは、線素をx=0からx=1まで積分して求める。
となる。
Newtonの方法で積分します。
x=
とし、0≦y≦u2で長さを求めます。
| dy dx | = | 1 2 |
4y=zとして、
| 1 4 | =∫z-1/2(z+1)1/2dz |
| z= | 1 t | として積分は、 -∫t-2(t+1)1/2dt |
-∫(u-1)-2u1/2du
| u=s2として、-∫ | 2s2 (s2-1)2 | dsとなる。 |
元の変数yに戻すと、長さは
![]()
y=u2を代入して、
答え
となる。
例えば、(0,0)から(1,1)までの曲線の長さは、
| u=1として、 | 1 2 | - | 1 4 | log( |