◆東京都 小林 祐介 さんからの解答。
【問題1〜4】
正n角形における内接円と外接円の半径の比は
| cos |
π ―― n | なので円C(n)の半径は |

となる。
上の式より、

また、
…(1)
となる。
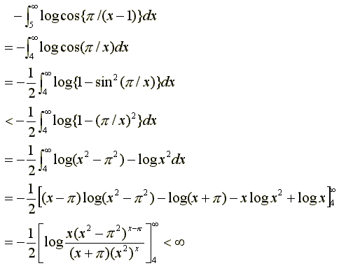
【問題5】
(1) の式において、C(n)の極限値は

となる。
ここで左辺の自然対数をとると

ここで
よってC(n)は収束する。
◆出題者の @JJJJJJ さんからのコメント。
小林 祐介 さん 解答有難うございました。
数値計算では、C(10000000)=8.700040...
となりましたが、もっと綺麗に表せないかなあと思っています。
◆宮城県 アンパンマン さんからの解答。
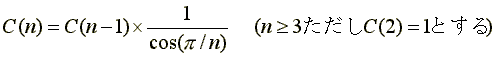
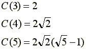
【問題1】
C(3)=sec(π/3)=2
【問題2】
C(4)=sec(π/3)sec(π/4)=2sqrt(2)
【問題3】
C(5)=C(4)sec(π/5)=2sqrt(2)(sqrt(5)-1)
【問題4】
C(n)=sec(π/3)*...*sec(π/n)
【問題5】
はい。
【問題6】
cos(x)=(1-(2x/π)2) (1-(2x/3π)2)(1-(2x/5π)2)...
ln(1-x)=-x-x2/2-x3/3-.... ;
-1<x<1
Let
K= ln(1/C(∞))
=ln(cos(π/3))+ln(cos(π/4)+....
| =- |
∞ Σ j=1 | 4j/j*( |
∞ Σ i=3 |
1/i2j) |
| =- |
∞ Σ j=1 | 4j/j*(Pj) |
| where Pj= |
∞ Σ i=3 | 1/i2j |
| P1= |
∞ Σ i=3 | 1/i2=π2/6-5/4. |
| P2= |
∞ Σ i=3 | 1/i4=π4/90-17/16. |
lim C(n)=e-K=??