◆宮城県 アンパンマン さんからの解答。







◆愛知県 juin さんからの解答。
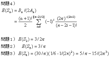
【問題1】
円周上に、反時計周りに点A,B,Cをとる。
円の中心をOとし、
x1=∠BOC,x2=∠COA,x3=∠AOCとする。
x1≧0,x2≧0,x3≧0,x1+x2+x3=2π
△ABCの面積Sは、
| S= | 1 2 | sinx1+ | 1 2 | sinx2+ | 1 2 | sinx3= | 1 2 | (sinx1+sinx2+sinx3)となる。 |
ここで、確率を次のように入れる。
Ω=[0,2π)×[0,2π)×[0,2π)
この空間の中で、x1+x2+x3=2πとなる平面(正三角形)の上で、面積に比例した確率を入れる。
△ABCの面積Sの平均ESは、次のようになる。
| S=E( | 1 2 | (sinx1+sinx2+sinx3))= | 1 2 | (Esinx1+Esinx2+Esinx3) |
ここで、Esinx1=Esinx2=Esinx3だから、Esinx1だけ計算する。
まず、確率分布は
| P(x1>t)= | ( | 2π-t 2π | ) | 2 | =(1- | t 2π | ) | 2 |
| P(x1≦t)=1- | (1- | t 2π | ) | 2 |
| tで微分して、密度関数f(t)= | 2(2π-t) (2π)2 |
この密度関数を使い、sinx1 を[0,2π)で積分する。
Esinx1
| =∫ | sint×2(2π-t) (2π)2 | dt |
| = | 2 (2π)2 | ∫sint×(2π-t)dt |
| = | 2 (2π)2 | ∫sint×(-t)dt |
| = | 2 (2π)2 | ×2π |
| = | 1 π |
| ES= | 1 2 | ・3Esinx1= | 1 2 | ・3・ | 1 π |
= | 3 2π |
【問題2】
単位円周上に反時計周りに4点A,B,C,Dをとる。
単位円の中心をOとする。
x1=∠AOB,x2=∠BOC,
x3=∠COD,x4=∠DOAとする。
内接四角形ABCDの面積
| S= | 1 2 | (sinx1+sinx2+sinx3+sinx4)となる。 |
Ω=[0,2π)×[0,2π)×[0,2π)×[0,2π)
Ωの中の空間(正四面体)x1+x2+x3+x4=2πの体積に比例した確率を入れる。
面積Sの期待値
| ES=E( | 1 2 | (Esinx1+ Esinx2+ Esinx3+ Esinx4) |
| = | 1 2 | (Esinx1+ Esinx2+ Esinx3+ Esinx4) |
| P(x1>t)= | ( | 2π-t 2π | ) | 3 | =(1- | t 2π | ) | 3 |
| P(x1≦t) | =1-(1- | t 2π | ) | 3 |
| tで微分して、密度関数はf(t)= | 3 (2π)3 |
(2π-t) | 2 | となる。 |
Esinx1
| =∫sint× | 3 (2π)3 | (2π-t)2dt |
| = | 3 (2π)3 | ∫(-sin(s)s2)ds |
| = | 3 (2π)3 | (2π)2 |
| = | 3 2π |
| ES=4× | 1 2 | × | 3 2π | = | 3 π |
| 答 内接四角形の面積の期待値は、 | 3 π |
【問題3】
単位円周上に反時計周りに、5点A,B,C,D,Eをとる。
単位円の中心をOとし、
x1=∠AOB,....,x5=∠EOAとする。
x1+x2+x3+x4+x5=2π となる。
五角形ABCDEの面積Sは、
| S= | 1 2 | (sinx1+sinx2+sinx3+sinx4+sinx5) となる。 |
ここで、確率を次のようにいれる。
Ω=[0,2π)×[0,2π)×[0,2π)×[0,2π)×[0,2π) とし、
この中の、x1+x2+x3+x4+x5=2π となる、部分集合(4次元の正三角形に相当する図形)に、4次元の体積に比例して、確率を入れる。
| ES=E( | 1 2 | (sinx1+sinx2+sinx3+sinx4+sinx5))= | 1 2 | (Esinx1+......+Esinx5) |
| P(x1>t)= | ( | 2π-t 2π | ) | 4 | だから、 |
| P(x1≦t)=1- | ( | 2π-t 2π | ) | 4 |
| tで微分して、密度関数は、 | 4 (2π)4 | (2π-t)3 | となる。 |
Esinx1
| =∫ | sint×4 (2π)4 | (2π-t)3 dt |
| = | 4 (2π)4 | ∫(-s3)sin(s)ds |
| = | 4 (2π)4 | ((2π)3-12π) |
| ES= | 1 2 |
×5× | 4 (2π)4 | ((2π)3-12π)= | 5 π | - | 15 2π3 |
【問題5】
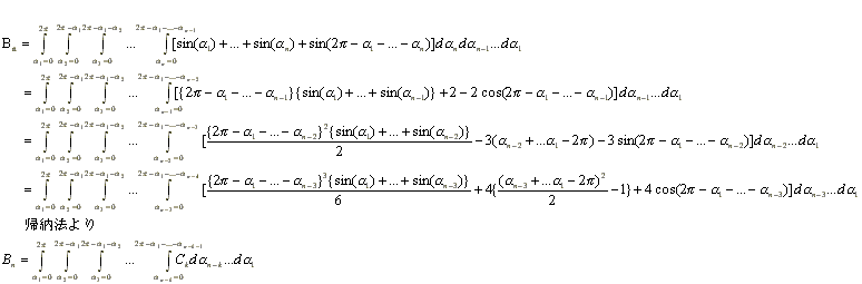
単位円周上に反時計周りに点をとり,A1,A2,...,Anとする。
単位円の中心をOとし、∠A1OA2=x1,...,∠AnOA1=xnとする。
x1+x2+...+xn=2πとなる。
| n角形の面積S(n)= | 1 2 | (sinx1+...+sinxn)となる。 |
Ωの中の(n-1)次元部分集合、x1+x2+...+xn=2πの上で、(n-1)次元の体積に比例した確率を入れる。
この確率で平均を計算する。
| ES(n)= | 1 2 | (Esinx1+...+Esinxn)となる。 |
分布関数は、
| P(x1>t)= | ( | 2π-t 2π | ) | n-1 | より、 |
| P(x1≦t)=1- | ( | 2π-t 2π | ) | n-1 | となる。 |
| f(t)= | (n-1)(2π-t)n-2 (2π)n-1 | =(n-1)(1- | t 2π | ) | n-2 | /(2π)となる。 |
Esinx1=∫sin(t)f(t)dt
| S(n)= | 1 2 | n∫sin(t)f(t)dt= | 1 2 | n∫{sin(t)(n-1) | (1- | t 2π | ) | n-2 | /(2π)}dtとなる。 |
S(n)を部分積分する。
sin(t)を微分し、密度関数を積分する。
S(n)
| = | 1 2 | {n[sin(t) | (1- | t 2π | ) | n-1 | (-1)]-n∫cos(t) | (1- | t 2π | ) | n-1 | (-1)dt |
| = | 1 2 | {n(0-0)+∫cos(t)n | (1- | t 2π | ) | n-1 | }dt |
| = | 1 2 | {[cos(t) | (1- | t 2π | ) | n | (-2π)]-∫(-sin(t) | (1- | t 2π | ) | n | (-2π)dt} |
| = | 1 2 | {0-(-2π)-∫sin(t) | (1- | t 2π | ) | n | (2π)}dt |
| =π-π∫{sin(t) | (1- | t 2π | ) | n | }dt |
| |∫{sin(t) | (1- | t 2π | ) | n | dt|≦ | ∫(1- | t 2π | ) | n | dt= | 2π n+1 |
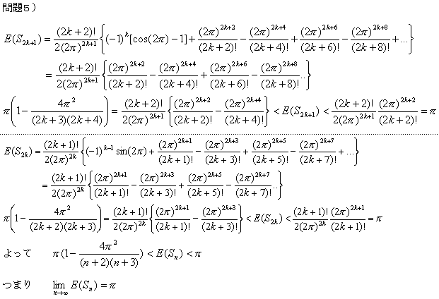
| よって、|S(n)-π|≦ | π(2π) n+1 | →0 (n→∞) |
つまり、limS(n)=π (n→∞)