◆滋賀県 一平ちゃん さんからの解答。
【問題1】
| arctan( | 1 x | )+arctan( |
1 y | )=arctan( | 1 z | ) …* |
*において両辺の正接をとれば、加法定理を適用して、
| x+y xy−1 | = |
1 z | …# |
を得る。
従って
| z= | xy−1 x+y |
∴
| x−z= | x2+1 x+y |
| y−z= | y2+1 x+y |
これらをそれぞれu,vとおけば、
z2+1=uv が成立する。
証明を逆にたどることによって逆も成立する。
◆富山県 N.C さんからのコメント。
【問題2】
解答ではないのですが,...
(x+y)は2zの倍数になることが簡単に証明できます。
そこで、zが4000以下の場合を全て求め、
| x+y 2z | の値によって分類してみました。 |
規則がありそうで判らず、弱ります。
| x+y 2z | =−1のとき |
| x+y 2z | =2のとき |
(x,y,z)=( 1, 7, 2)
(x,y,z)=( 7, 41, 12)
(x,y,z)=( 41, 239, 70)
(x,y,z)=( 239,1393, 408)
(x,y,z)=(1393,8119,2378)
| x+y 2z | =5のとき |
(x,y,z)=( 2, 38, 4)
(x,y,z)=( 38, 682, 72)
(x,y,z)=(682,12238,1292)
| x+y 2z | =10のとき |
(x,y,z)=( 3, 117, 6)
(x,y,z)=(117,4443,228)
| x+y 2z | =17のとき |
(x,y,z)=( 4, 268, 8)
(x,y,z)=(268,17684,528)
以下略。
参考までに、zが4000以下の場合を求める十進BASIC用のプログラム。
OPTION ARITHMETIC RATIONAL
function add(x,y)
let add=(x*y-1)/(x+y)
end function
for z=1 to 4000
let z2=add(z,z)
for x=1 to z-1
let y=add(z2,-x)
if 1=DENOM(y) then
print (x+y)/(2*z),"(x,y,z)=(";x;",";y;",";z;")"
end if
next x
next z
END◆愛知県 Y.M.Ojisan さんからの解答
【準備】
cos(nθ)+i*sin(nθ)=(cosθ+i*sinθ)n -----(1)
より tanθ=1/Zとおけば (ただし Z≠0)
tan(2θ)=2Z/(Z2-1) -----(2)
tan(3θ)=(3Z2-1)/(Z3-3Z) -----(3)
tan(4θ)=(4Z3-4Z)/(Z4-6Z2+1) -----(4)
また、公式
tan(a+b) = (tan(a)+tan(b))/(1-tan(a)*tan(b)) -----(5)
問題の式の左辺はtanをとると、(5)により
左辺=(1/x+1/y)/(1-1/xy)=(x+y)/(xy-1) ----(6)
ただし、題意より xy≠0
また、arctan は奇関数であるので、
Z>0 としても問題として一般性は失わない。
【問題2】
Arctan(1/x)+Arctan(1/y)=2Arctan(1/z) -----(2-1)
Z=1のとき右辺は π/2であるが 左辺の最大は
x=y=1のときπ/2であって、
これは x<|y| 条件に合わない。
よって、2≦Z としてよい。
一方 0<x<|y|の条件であるが、
@ 0<x<yの場合 x≠yの条件に置きかえてもx yは対称なので一般性を失わない。
また z>0なのでx>0の条件もでる。
A 0<x<-yの場合は z>0の条件から出てくるので必要ない。
すなわち、付帯条件を
2≦Z および x≠y である整数x、y、zとしても等価である。
(2)と(6)を(2-1)に適用すると、
(x+y)/(xy-1)=2Z/(Z2-1)
2≦Z であるので (Z2-1)≠0
また、xy=1 なる整数y,x>0は、
x=y=1であり
条件 x≠yに反する。
よって、(xy-1)≠0
以上より両辺に
(Z2-1)(xy-1)をかけても、等価である。即ち
(Z2-1)*(x+y)-2Z*(xy-1)=0 ------(2-2)
ここで問題1同様に
x=Z+u y=Z+v とおけば u,vは整数で
u≠v でなければならない。
(2-2)に代入し整理すると、
(Z2+1)*(u+v)+uv*2Z =0 ------(2-3)
(2-3)は uv=0のとき u=v=0なる解をもつが
条件 u≠v に反している。
よって、uv≠0なる条件が必要であるが、
(2-3)を下記のように書き換えることにより
自然に uv≠0の条件がつく。
2Z/(Z2+1) + (u+v)/uv = 0 ------(2-4)
すなわち、 (2-4)を満足する 整数 u,v,Zが存在する。
ただし、2≦Z
必要条件証明完了
次に 2≦Z のとき、(2-4)を満足する整数 z,u,vが存在したとする。
このとき (2-4)の導出過程から (2-1)は成立する。
ただし、u≠vで無ければならないが
u=v=P:整数のとき 式(2-4)は
P=Z+1/Z
と変形され 2≦Z Z:整数 なので Pは整数ではない。
よって、u≠vの条件は不要である。
即ち十分条件であることが証明された。
【問題2答え】
2Z/(Z2+1) + (u+v)/uv = 0 を満足する整数
2≦Z,u,vが存在すること。
【問題2感想】
一応問題に解答したと思いますが、これで完成なのか不安です。
というのは、この式からすぐには解が見つからないからです。
次の2系列の解を発見できましたが、それ以外にもありそうです。

【問題3】
Arctan(1/x)+Arctan(1/y)=3Arctan(1/z) -----(3-1)
Z=1のとき右辺は 3π/4であるが
左辺の最大は x=y=1のとき2π/4であって、成立しない。
よって、2≦Z としてよい。
また、(3-1)から 少なくともx,yの何れかは正かつZ未満で無ければならず,
Z>x>0 とする。
このとき |y|≧xであるとしてよい。
(3)と(6)を(3-1)に適用すると、
(x+y)/(xy-1)=(3Z2-1)/(Z3-3Z)
2≦Z であるので (Z3-3Z)≠0
一方 xy=1 なる整数x、y は Z>0も考慮すると
x=y=1のみである。
このとき arctan(1/Z)=π/6であって、
Z=
/2。
即ち、Zは整数ではない。
よって、(xy-1)≠0 としてよい。
以上より両辺に (Z3-3Z)(xy-1)をかけても、等価である。よって、
(Z3-3Z)*(x+y)-(3Z2-1)*(xy-1)=0 ------(3-2)
ここで問題1同様
x=Z+u y=Z+v とおけば u,vは整数でなければならない。
また、Z>x>0より 0>u>-Z -------(3-3)
(3-2)に代入し整理すると、
(Z2+1)2+ 2Z*(u+v)*(Z2+1)+(3Z2−1)uv =0 --(3-4)
Z2+1=Q≧5 とおけば
Q2+2Z*(u+v)*Q=−(3Z2−1)uv --(3-5)
【問題3の補題】
Z2+1=Q と (3Z2−1) の公約数は高々2である。
互除法によれば (3Z2−1)-3Q=-4なので、公約数は高々4である。
Zが偶数のとき Qは奇数であり、2を因数にもたない。
Zが奇数のとき Z=2n+1とすると
Q=2+4(Z+2Z2)であり、2の倍数であるが4の倍数でない。
よって、=Q と (3Z2−1) の公約数はZが奇数のとき2、偶数のとき互いに素である。
(3-5)式の左辺はZが奇数のときQは偶数なので、2Qの倍数である。
従って問題3の補題により uvはQの倍数である。
Zが偶数のとき問題3の補題により無条件に uvはQの倍数である。
左辺=Q2+2Z*(u+v)*Q=Q*(Q+2Z(u+v))
よって、uvは下記で表される。
uv =(A+1)Q A:整数 ----(3-6)
これを (3-5)に入れQ>0で除して整理すると、
2Z(u+v)+ (3Z2−1)A+4Z2=0 ---(3-7)
Zと3Z2−1 は互いに素であるから AはZの倍数でなければならない。すなわち
uv =( BZ+1)Q B:整数 ---(3-8)
次に 特殊な場合を除き B=0に限ることを証明する。
(3-5) を解くと
−v/Q =(Q+2Zu)/(2ZQ+(3Z2−1)u) ---(3-9)
0>u>-Z Z≧2であるので
分子=|Q+2Zu|<max((Z-1)2,|Z2-2Z-1|)= (Z-1)2
分母は Z=3n 3n+1 3n-1 に分類し分母の絶対値の最小を検討する。
分母が最小になるのは
u=-(2Z3+2Z)/(3Z2−1) 付近である。
Z=2 に関してはu=-1であって、(3-9)より v=-5/9 で解はない。
よって Z≧3
@ Z=3nのとき (n≧1) u=-2n+αとおくと
分母=8n+α(27n2−1)
=8/3Z + α(3Z2−1)
8n=8,16,32 ,… に対し
(27n2−1)=26,107,242 …..>2*(8n)
よって分母の絶対値が最小になるのは α=0のときで
|分母|=8/3Z
次に小さいのは α=±1のときであって、
|分母|=min(|27n2−1+8n|,| 27n2−1-8n| )
= 27n2−1−8n
|分母|/Z2= 3 -8/3Z -1/ Z2..≧2
即ち |分母|≧2 Z2
まとめると Zが3の倍数のときで u=2Z/3の場合
|−v/Q|<3/8(Z-1) 2/Z
その他のuのとき
|−v/Q|<0.5(1−1/Z) 2<0.5
A Z=3n-1のとき (n≧2)
u=-2n+1+αとおくと
分母=(9n2+4n-2) + α(27n2−18n+2)
n>2 のとき
(9n2+2n-2)= 85,150 ,… に対し
(27n2−18n+2)=191,362, …..>( 9n2+2n-2)
であって、α=0で最小となる。
n=2 のときはα=−1で最小値36
n=2 Z=5 において 36/Z2>1
n>2 Z=3n-1 において
(9n2+2n-2)/ Z2=1+(3Z-n)/ Z2>1
即ち |分母|> Z2
まとめると Z≧5 が3の倍数−1のとき
|−v/Q|<(1-1/Z)2
B Z=3n+1のとき (n≧1)
● u=-2n-1+αとおくと
分母=(9n2+4n-2) + α(27n2+18n+2)
(-9n2+2n+2)= -5 , -30, -73 , -134 ,… に対し
(27n2+18n+2)=47,146,299,506 …..>| -9n2+2n-2|*2
であって、α=0で最小となる。
このとき分母だけでは、
|-9n2+2n+2|/ Z2=1+(-3Z+n)/ Z2<1
であり、このままでは、欲しい結果ではない。
従って分子も考慮すると、(3-9)
for Z≧4
|−v/Q|
=(Q+2Zu)/(2ZQ+(3Z2−1)u)
=(Z2+2Z−3)/(3Z2−8Z−1)
以上から for Z>4 |−v/Q|<1 が成立する。
Z=4 に対しては (3-9) により
u=-1,-2,-3 v=-9/89 , - 1/42, -7/5 で解は無い。
●α=±1の場合は@と同様にして
|分母|>2 Z2
まとめると Z(≧5) が3の倍数+1のとき
|−v/Q|< 1
以上 @ABをまとめると
Z=3n u=-2n の場合を除いて |−v/Q|<1である。
|u|≦(Z−1)であるので
|uv/Q| =|−v/Q||u|< (Z−1)----(3-10)
一方 (3-8)より B≠0 とすると
|uv/Q| =| BZ+1|≧|-Z+1|=(Z−1)であり (3-10)と矛盾する。
よって B=0 即ち,
uv= Z2+1
以上をまとめると、(3−1)を満足する z、x、yが存在するのは下記2ケースに絞られた。
(a)uv= Z2+1 z>4
(b)u = -2Z/3 Z=3n
●(a)の場合
(3-4)に代入し整理すると
2Z+(u+v) = 0 ---(3-11)
(a)と(3-11)を満足するu,vは 下記2次方程式の解である
t*t+2Z*t+ Z2+1=0
判別式
D= Z2−(Z2+1)=−1<0
u,vは実数ではない。
よって (a)の場合に解は存在しない。
●(b)の場合
(3-9)にZ=3n u=-2nを代入し整理すると
-v =( 9 n2+1)*(3n2−1 )/8n
×8&整理 すると
-8v= 27 n3−6 n2−(1/n)
1/nが整数なのは n=1のみである。
このとき v=-5/4 で v は整数ではない。
以上で 解が存在しないことが証明された。
【問題3感想】
ゴールデンウィークに1つか2つ"?"をつぶそうと思い立ったが100年目、豪いものにハマッテしまった。
すぐに出来そうに見えたのですが、かくのごとく大論文になってしまいました。
読み返してみても、頭の混乱を反映しており、読みにくいものと思います。
もう少しスッキリできるところもありますが,いずれにしても、エレガントな解法が用意されていると推察しますので、やったと言う証拠として、このまま失礼ながら提出いたします。
(本音は書き直すのが面倒なのですが。)
【問題4】
Arctan(1/x)+Arctan(1/y)=4Arctan(1/z) -----(4-1)

【問題4解法】
Z=1のとき右辺は πであるが
左辺の最大は x=y=1のとき2π/4であって、成立しない。
よって、2≦Z としてよい。
また、(3-1)から 少なくともx,yの何れかは正かつZ未満で無ければならず,
Z>x>0 とする。
このとき |y|≧xであるとしてよい。
(4)と(6)を(4-1)に適用すると、
(x+y)/(xy-1)=(4Z3-4Z)/(Z4-6Z2+1)
(ZSUP>4-6Z2+1)≠0 である。
一方 xy=1 なる整数x、y は Z>0も考慮すると
x=y=1のみである。
このとき arctan(1/Z)=π/8であって、
Z=(1+
)。
即ち、Zは整数ではない。
よって、(xy-1)≠0 としてよい。
以上より両辺に
(Z4-6Z2+1) (xy-1)をかけても、等価である。
即ち、
(Z4-6Z2+1)*(x+y)- (4ZSUP>3-4Z)*(xy-1)=0
------(4-2)
ここで問題1同様
x=Z+u y=Z+v とおけば u,vは整数でなければならない。
また、Z>x>0より 0>u>-Z -------(4-3)
(4-2)に代入し整理すると、
2Z(Z2+1)2 +(u+v)(3Z2-1)(Z2+1)+4Z*(Z2-1)uv=0
------(4-4)
Z2+1=Q≧5 とおけば
2ZQ2+(3Z2-1)*(u+v)*Q
=−4Z(Z2−1)uv ------(4-5)
Q と −4Z(Z2−1) は高々 2を公約数としてもつだけである。
よって
uv =Q/2*(1+A) A:整数 ----(4-6)
(4-5)に代入すれば
(3Z2-1)*(u+v)=−2Z(Z2−1)A−4ZSUP>3
(3Z2-1) とZは互いに素であり、かつ右辺は4の倍数、
(3Z2-1)は4の倍数でないので
u+v=2Z(B−1) B:整数 ---(4-7)
(4-5)に代入すれば
(3Z2-1)*(B-1)
=−(Z2−1)A−2Z2
A = −((3Z2-1)*B+1-Z2)/(Z2−1)
= 1 −(3Z2-1)*B/(Z2−1)
(3Z2-1) と (Z2−1) は 高々2を公約数としてもつ。従って
Bは(Z2−1)/2 の倍数 すなわち
A=1 +(3Z2-1)/2*C C:整数
結局
uv = Q + Q *(3Z2-1)/4*C ---(4-8)
一方 (4−4)を-vについて解くと
-v= Q* (2Z(Z2+1)+(3Z2-1)u)/( (3Z2-1)(Z2+1)+4Z*(Z2-1)u) ---(4-9)
ここで 問題3とほぼ同じ形式が構成された。
先にC=0の場合を詰めておくと,
uv=Z2+1
u+v=−2Z
この方程式を満足する u,vは t*t+2Zt+ Z2+1=0 の根
判別式 D=-1 <0
よって u,vは虚根であり、整数ではない。
(4-9)の分母から Z>有限値において
Z=4n u=-3n のときだけ |-v/Q/Z|は大きくなり
それ以外では1以下で C=0でなければならなくなると証明できると問題3から推測される。
ここでは、少しサボって,その証明はせず、予測が正しいか 計算機でしらべた。
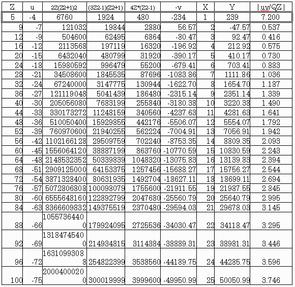
下表は Z≦100までをPCで調べた結果のうち、
|-v/Q/Z|>0.375以上のものを一覧にした表である。
予測どおり Z≦100 における唯一の解
Z=5 u=-4 v=234 が含まれている。
また Z≧12 においては Zが4の倍数で
u=-3Z/4の場合のみがリストアップされている。

最後に Z=4n u=-3n z>12 の場合には解が無いことを証明する。
(4-9)にこれらを代入し整理すると、
-v= (16n2+1)n(11−16n2)/(80n2−1)
(a) nと (80n2−1)は互いに素
(b) (16n2+1) と (80n2−1)はs互除法で
(16n2+1) と -6=−2×3
16n2+1 は奇数なので 2の約数は無い
3の倍数かどうかは n2+1 mod 3 で考えればよく
n=0,1,2 に対して 1,2,2であって、3の倍数ではない。
よって(16n2+1) と (80n2−1)は互いに素
(c) (-16n2+11) と (80n2−1)はs互除法で
(-16n2+11) と -54=−2×33
-16n2+11 は奇数なので 2の約数は無い
3の倍数かどうかは -n2+2 mod 3 で考えればよく
n=0,1,2 に対して 2,1,1であって、3の倍数ではない。
よって(-16n2+11) と (80n2−1)は互いに素
また 分母は1ではない。
従って,分子は分母の倍数で無く、vは整数ではない。
以上から (4-1)の解は
Z=5 X=1 Y=239 のみである(らしい)。
【問題4感想】
ちゃんとした証明は、疲れたのでパス。
機会があれば別ルートを目指すつもり。
◆出題者のコメント
かなり遅くなってしまいましたが,皆さん解答ありがとうございました。
まず問題1については,皆さん異論はないと思います。
次に問題2についてですが,自由な発想をしてもらうために,かなり漠然とした問題設定をしてしまいました。
Y.M.Ojisanさんの解答はもちろん正解ですが,ご自身もおっしゃっているように,「すべての」解を具体的に求めることができないという難点があるでしょう。
そこで,問題2を以下のように改めたいと思います。
そのために,まず次のように定義します。
定義.
正の整数aに対して,整数列(un(a)), (vn(a)) (n∈Z)を次のように定義する。
un(a)+vn(a)√d=(a+√d)n (n∈Z)
ただし,d=a2+1とする。
このとき,次の問題に挑戦してみてください。
問. 正の整数x, y, z (x<y)が方程式
| Arctan( | 1 x | )+Arctan( |
1 y | )=2Arctan( |
1 z | ) |
を満たすための必要十分条件は,ある正の整数aおよびnが存在して
x=u2n-1(a), y=u2n+1(a), z=v2n(a)
と表されることであり,また方程式
| Arctan( | 1 x | )−Arctan( |
1 y | )=2Arctan( |
1 z | ) |
を満たすための必要十分条件は,ある正の整数nが存在して
x=u2n-1(1), y=u2n+1(1), z=u2n(1)
と表されることであることを示せ。
さて,残るは問題3および4ですが,私が用意していた解法も基本的にY.M.Ojisanさんと同様の場合分けに基づいています。
問題3,4いずれも同様の方針ですので,以下では問題3についてだけ言及したいと思います。
まず,この話題に関して知られている定理を一つ述べておきます。
定理1.1(Strmer).
整数k, m, n, x, yに対して,不定方程式
| k Arctan 1=m arctan( | 1 x | )+n arctan( |
1 y | ) |
は本質的に次の4つの解のみを持つ。
| Arctan 1=Arctan( | 1 2 | )+Arctan( |
1 3 | ), |
| Arctan 1=2Arctan( | 1 2 | )-Arctan( |
1 7 | ), |
| Arctan 1=2Arctan( | 1 3 | )+Arctan( |
1 7 | ), |
| Arctan 1=4Arctan( | 1 5 | )-Arctan( |
1 239 | ), |
それから,補題を一つ用意しておきます。
補題1.2.
正の整数kに対して,0でない整数x, y, zが方程式
| (1.1) Arctan( | 1 x | )+Arctan( |
1 y | )=k Arctan( |
1 z | ) |
を満たすならば,ある互いに素な整数a, bが存在して,次が成り立つ。
(1.2) a(x+i)(y+i)=b(z+i)k. (iは虚数単位)
| さらに,ある整数0≦e≦ | k 2 | に対して,a=2eと表される。 |
略証.
α=(x+i)(y+i)(z+i)-k∈Q(i)とおくと,
(1.1)よりargα∈πZであるから,αは有理数である。
よって,(1.2)が成り立つ。
今,奇素数pがaを割り切るとすると,Z[i]の一意分解性より,
pはz+iを割り切ることになり矛盾。
したがって,a=2e (e≧0)と表されるが,
e>k/2とすると,再びZ[i]の一意分解性より,2がz+iを割り切ることになり矛盾。
| よって,e≦ | k 2 | となる。 |
また,Taylorの定理より次が成り立つことに注意してください。
補題1.3.
任意の実数0<t<1および整数n≧0に対して次の不等式が成り立つ。
| Arctan t <t− | t3 3 | + | t5 5 | -...+ | t4n+1 4n+1 | , |
| Arctan t >t− | t3 3 | + | t5 5 | -...− | t4n+3 4n+3 |
これで準備ができました。
【問題3の解答】
まず定理1.1より,x≧2, z≧x+1≧3としてよい。
また補題1.2より,ある整数a, bが存在して
a(x+i)(y+i)=b(z+i)3, 1≦a≦2.
両辺の実部および虚部を比較すれば,
(1.3a) a(xy−1)=b(z3−3z),
(1.3b) a(x+y)=b(3z2−1).
特に(1.3b)より,
| |y|=| | b(3z2−1) a | −x| |
| ≧ | |b|(3z2−1) a | −x |
| > | 3z2−1 2 | −z |
| >z2. |
今,z≦3x−1と仮定すると,
| Arctan( | 1 x | )+Arctan( |
1 y | )-3Arctan( |
1 z | ) |
| <Arctan( | 3 z+1 | )+Arctan( |
1 z2 | )-3Arctan( |
1 z | ) |
| < | 3 z+1 | + |
1 z2 | -3( |
1 z | - |
1 3z3 | ) |
| = | -(2z2−2z−1) z3(z+1) |
| <0 となり矛盾。 |
一方,z≧3x+1と仮定すると,
|y|>z2>3x(3x+1)であるから,
| Arctan( | 1 x | )+Arctan( |
1 y | )-3Arctan( |
1 z | ) |
| >Arctan( | 1 x | )−Arctan( |
1 3x(3x+1) | )-3Arctan( |
1 3x+1 | ) |
| > | 1 x | − |
1 3x3 | - |
1 3x(3x+1) | −3( |
1 3x+1 | ) |
| = | 2x2−3x−1 3x3(3x+1) |
| >0 となり矛盾。 |
最後に,z=3xと仮定すると,(1.3)より,
1≡(xy−1)(3z2−1)=(x+y)(z3−3z)≡0 (mod x)
となり矛盾。
以上で,題意を満たすx, y, zが存在しないことが示された。
最後にコメントですが,「エレガント」かどうかは別として,多少短くはなったでしょうか。
しかし,内容をよく見てもらうと分かるように,いずれも本質的にRの大小関係(位相的性質)を用いています。
そもそも私がこの問題を投稿した理由の一つは,これを純粋に代数的に示すことができないかという点でした。
残念ながら,いまだ純代数的な証明は見つかっていないので,引き続き情報をお待ちしています。