◆東京都 小林 祐介 さんからの解答。
この手の最小問題は証明が大変なのでとりあえず思いついたものを解答しました。
もっと小さい解が存在するかもしれません。
【問題1】
半径1の球を2個詰め込むには、球を直線上に並べるしかない。
答:半径2
ここから先は試行錯誤です。
【問題2】
半径1の球を4個詰め込むには、1辺の長さが2の正四面体の頂点に球の中心を並べる方法がおそらく最小。
答:
【問題3】
半径1の球を8個詰め込むには、1辺の長さが2の正六面体の頂点に球の中心を並べる方法がおそらく最小。
答え:1+
【問題4】
半径1の球を16個詰め込むには、1辺の長さが6の正四面体において、各頂点から他の頂点へ向かって距離2の点を結ぶ平面で切った準正多面体の頂点と、準正多面体を構成する4つの正六角形の中心に球の中心を並べる方法がおそらく最小。
答:
【問題5】
平面における詰め込み問題でさえ難易度が恐ろしく高いと思うのですが。
(最小の証明ができない)
問題5は解けるのでしょうか?
解けるとしたら化学でいうところの面心立方格子や六方最密構造がからんでくる気がしますが。
◆富山県 N.C さんからの解答。
【問題3】
半径1の小球8個を、1辺の長さが2の正六面体の各頂点に中心が来るように並べる。
この8個を上の段4個と下の段4個に分け、上の段の4個(正方形の形に並んでいる)を
真上から見て45°ひねる。
(2×2×2のルービックキューブをひねるように?)
こうすると、上の段4個と下の段4個の間には隙間ができる。
そこで隙間がなくなるまで,上の段4個と下の段4個の間隔をせばめる。
すると8個の小球は、上面と下面が正方形で側面が正三角形8個からなる立体の頂点の位置に並ぶ。
*-----*
| | 展開図
| |
*-----*-----*-----*-----*
\ / \ / \ / \ / \
\ / \ / \ / \ / \
*-----*-----*-----*-----*
| |
| |
*-----*
計算はかなり面倒であるが、このとき8個の小球は半径
の球の中に納まることが求められる。
従って、正解はこれ以下の値になるはずである。
これはなかなかの難問であると思う。
【問題4】には手も足も出ない。
【問題3】や【問題4】の前に、
【問題2.5】「半径1の小球が6個の場合」
【問題3.5】「半径1の小球が12個の場合」
などに取り組んで見た方が建設的かも知れません。
なお、全体の中央に小球を1個置いた場合、その周りに12個の小球をならべて六方最密構造を作ることができ、
これらは半径3(=1+sqrt(4))の球の中に納まります。
一方、辺の長さが2の正20面体の頂点の位置に半径1の小球を12個ならべたときの外接球の半径は、
となりこれは3よりも小さな値です。
従って、小球の個数が全部で12個以下の場合は、中央に球がくる配置を考える必要はありません。
東京都の小林さんの解答を見ての思いつきで書いてしまいました。
なお、東京都の小林さんの【問題4】の解答にある
半径 
の球には、半径1の小球が少なくとも17個つめられそうです。
◆東京都 千葉 英伸 さんからの解答。
【問題3】
図のように、正六面体の上下の4つずつを45°ヒネるともう少し小さくできます。

図で、赤と青の線分は、それぞれの色の上下4つずつの球の中心同士を結んだものです。
黒線は上下で隣り合う球の中心を結んだものなので、長さは2。
つまり、黒線2本と青線1本でつくられる、ちょっと斜めの三角形は正三角形です。
赤線と青線の間の高さを計算すると、
![]()
さて、図1を緑の線で垂直に切った断面を考えてみます。

8つの小球が詰め込まれている大きな球の中心を原点にとると、
赤い小球の中心O1 の座標は、

大きな球の半径をRとすると、2つの円の方程式が導かれます。
この2つの円は接しているので、重解をもつ場合のRを求めればよい。
がんばって計算すると、

ただし、これが最小であるという保証はありません。
◆富山県 N.C さんからの解答。
【問題4】
16個の小球のうち、1個を中央(原点O)に配置し、
残り15個を3個ずつ次の5階層に分けて配置します。
# 空間座標で表記します。
でもこのデータを見て配置を頭の中で想像するのは困難ですね。
・第1階層
A1(2.24cos( 58°)cos( 10°),2.24cos( 58°)sin( 10°),2.24sin( 58°)) A2(2.24cos( 58°)cos(130°),2.24cos( 58°)sin(130°),2.24sin( 58°)) A3(2.24cos( 58°)cos(250°),2.24cos( 58°)sin(250°),2.24sin( 58°))# このとき△A1A2A3は1辺の長さが2.055977の正3角形になる。
・第2階層
B1(2.24cos( 25°)cos(190°),2.24cos( 25°)sin(190°),2.24sin( 25°)) B2(2.24cos( 25°)cos(310°),2.24cos( 25°)sin(310°),2.24sin( 25°)) B3(2.24cos( 25°)cos( 70°),2.24cos( 25°)sin( 70°),2.24sin( 25°))# このとき△B1B2B3は1辺の長さが3.516287の正3角形となる。
・第3階層
C1(2.24cos( 0°)cos( 0°),2.24cos( 0°)sin( 0°),2.24sin( 0°)) C2(2.24cos( 0°)cos(120°),2.24cos( 0°)sin(120°),2.24sin( 0°)) C3(2.24cos( 0°)cos(240°),2.24cos( 0°)sin(240°),2.24sin( 0°))# このとき△C1C2C3は1辺の長さが3.79793の正3角形となる。
・第4階層
D1(2.24cos(-25°)cos(170°),2.24cos(-25°)sin(170°),2.24sin(-25°)) D2(2.24cos(-25°)cos(290°),2.24cos(-25°)sin(290°),2.24sin(-25°)) D3(2.24cos(-25°)cos( 50°),2.24cos(-25°)sin( 50°),2.24sin(-25°))・第5階層
E1(2.24cos(-58°)cos(-10°),2.24cos(-58°)sin(-10°),2.24sin(-58°)) E2(2.24cos(-58°)cos(110°),2.24cos(-58°)sin(110°),2.24sin(-58°)) E3(2.24cos(-58°)cos(230°),2.24cos(-58°)sin(230°),2.24sin(-58°))このとき、各小球の中心間の距離は下記の通りで、小球は互いに接することなく配置できます。
【小球の中心間の距離】(距離が3以上のものは省略)
・AiAj=EiEj=2.055977 (i≠jのとき) ・AiBj=EiDj=2.007181 (i≠jのとき) ・AiCi=EiCi=2.190466 ・BiCi-1=DiCi-1=2.046719 ・BiCi+1=DiCi+1=2.631450 ・BiDi=2.020347 ・OAi=OBi=OCi=ODi=OEi=2.24また、中央(原点O)と中央以外の小球との距離は、いずれも2.24なので、
なお以下のプログラム(十進BASIC)は、中央(原点O)以外の15個の小球の中心を結んで得られる多面体を少しずつ回転させながら表示するものです。
option angle degrees
set window -3,3,-3,3
dim x(15),y(15),z(15) ! 頂点は15個
sub vertex(R,psy,theta) ! 極座標をデカルト座標に
let idx=idx+1
let x(idx)=R*cos(psy)*cos(theta)
let y(idx)=R*cos(psy)*sin(theta)
let z(idx)=R*sin(psy)
end sub
sub vertex3(R,psy,theta) ! 3個ずつまとめて変換
call vertex(R,psy,theta)
call vertex(R,psy,theta+120)
call vertex(R,psy,theta+240)
end SUB
let R=2.24 ! R=2.21743654373049
let t1=10 ! t1=10.766417601
let p1=25 ! p1=24.696806535
let p2=58 ! p2=58.618320649
call vertex3(R, p2, 0+t1) ! 第1階層
call vertex3(R, p1,180+t1) ! 第2階層
call vertex3(R, 0, 0) ! 第3階層
call vertex3(R,-p1,180-t1) ! 第4階層
call vertex3(R,-p2, 0-t1) ! 第5階層
dim A(39),B(39),C(39) ! 辺は39本
sub bond(ia,ib,col)
let idx2=idx2+1
let A(idx2)=ia ! ←頂点の番号
let B(idx2)=ib ! ←これも頂点の番号
let C(idx2)=col ! ←これは色番号
end SUB
sub bond2(ia,ib,col)
call bond(ia,ib,col)
call bond(16-ia,16-ib,col)
end SUB
for i=1 to 3
call bond2(i,1+mod(i,3),1) ! 第1階層同士
call bond2(i,4+mod(i,3),2) ! 第1階層と第2階層
call bond2(i,4+mod(i+1,3),2)
call bond2(6+i,4+mod(i,3),4) ! 第3階層と第2階層
call bond2(6+i,4+mod(i+1,3),6)
call bond2(i,6+i,3) ! 第1階層と第3階層
call bond(3+i,9+i,5) ! 第2階層と第4階層
next I
do
let delta=delta+1 ! 回転表示
let eta=eta+0.03 ! 回転軸を少し傾けて表示
let XX= cos(delta)
let XY=-sin(delta)
let XZ=0
let YX= sin(delta)*sin(eta)
let YY= cos(delta)*sin(eta)
let YZ= cos(eta)
clear
for i=1 to idx2 ! 辺の表示
set line color C(i)
plot lines: XX*x(A(i))+XY*y(A(i))+XZ*z(A(i)),YX*x(A(i))+YY*y(A(i))+YZ*z(A(i));
plot lines: XX*x(B(i))+XY*y(B(i))+XZ*z(B(i)),YX*x(B(i))+YY*y(B(i))+YZ*z(B(i))
next I
plot points: 0,0
for i=1 to idx ! 頂点の表示
plot points: XX*x(i)+XY*y(i)+XZ*z(i),YX*x(i)+YY*y(i)+YZ*z(i)
next I
wait delay 0.05
loop
END
◆東京都 千葉 英伸 さんからの解答。
【問題4】
16個の場合の充填の仕方を説明します。
以下、求める大球の半径をRとし、
半径1の小球には、0〜15までの番号を付けておきます。
まず、xy平面上に、原点Oを中心とした正七角形の頂点に並べてみます。
正七角形のうち、隣り合った2個を上下(z軸方向)に少しだけずらします。
このとき、隣り合った小球は互いに接していて、
かつ、原点と中心の距離はR−1になるようにずらします。
(赤は原点に置いた球0)
次に、球8から球11までを正方形の形に組んで、球8と球9が球4に接するように七角形の上に置きます。

(この4つの配置は、原点と球4の中心を通り、z軸に平行な平面に対称になるようにしています。
この条件をはずすと、複雑すぎて先に進めませんでした。)
残りの球12から球15は上と対称になるように、下側に配置します。
この上側の4つの球が、原点と中心との距離がそれぞれR−1で、球10と球1が接する場合の方程式を解いてRを求めます。
ただし、このままだと、球8と球3、球11と球7がそれぞれ重なってしまいます。
そこで、原点からの距離R−1を保って、球3と球7をちょっとだけ下にずらします。
これと対称な球6と球2は同じだけ上にずらします。
以上のように充填すると、半径Rと各球の中心の座標は以下の通りです。
R=3.2443344090097 K(0)=(0,0,0) K(1)=(2.2443344090097,0,0) K(2)=(1.35151046205192,1.78826013443517,0.112169969327904) K(3)=(-0.668139459341887,2.13593645643473,-0.1685290966222) K(4)=(-2.00923790016636,0.83659332071932,0.547824438782919) K(5)=(-2.00923790016636,-0.83659332071932,-0.547824438782919) K(6)=(-0.668139459341887,-2.13593645643473,0.1685290966222) K(7)=(1.35151046205192,-1.78826013443517,-0.112169969327904) K(8)=(-0.492388800852215,1.28823821716022,1.77060229981441) K(9)=(-1.26115825577644,-0.558107775652477,1.77060229981441) K(10)=(1.35320161169961,0.519783365797607,1.71339067062903) K(11)=(0.584432156775385,-1.32656262701509,1.71339067062903) K(12)=(-1.26115825577644,0.558107775652477,-1.77060229981441) K(13)=(-0.492388800852215,-1.28823821716022,-1.77060229981441) K(14)=(0.584432156775385,1.32656262701509,-1.71339067062903) K(15)=(1.35320161169961,-0.519783365797607,-1.71339067062903)【コメント】
やはり、この配置が最小である保証はありません。
上下4個ずつの正方形の対称性の条件や、最後に特定の球をちょっとずらしたりしているので、もっと小さくできるような気がします。
◆出題者の @JJJJJJ さんからのコメント。
小林 祐介 さん、N.C さん、千葉 英伸 さん 解答有難うございます。
16個の場合の球の配置は私の予想外の結果でした。
(中心は正四面体がきて、原点には球がこない配置を予想していました)
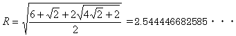
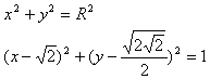
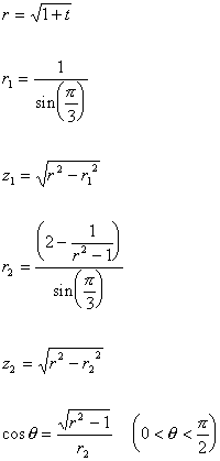
◆埼玉県 \aleph_0 さんからの解答。
【問題4】
N.Cさんのアイデアを拝借しました。
まず、tをX5−4X4−X3+5X2+X−1の根で
3<t<4を満たすものとし、
とおき、さらにAk (r1cos(2kπ/3+θ), r1sin(2kπ/3+θ),z1)
Bk (r2cos((2k+1)π/3+θ), r2sin((2k+1)π/3+θ),z2)
Ck (r cos(2kπ/3), r sin(2kπ/3), 0)
Dk (r2cos((2k+1)π/3−θ), r2sin((2k+1)π/3−θ),−z2)
Ek (r1cos(2kπ/3−θ), r1sin(2kπ/3−θ),−z1), (k=0,1,2)
O (0, 0, 0)
とおくと、これらの点のうちの任意の二つの間の距離は2以上になります。
したがって、これらの点を中心とする16個の単位球は(原点を中心とする)半径
R=1+r〜3.21743654371585
の球に含まれます。