◆宮城県 アンパンマン さんからの解答。
廊下の大きさをC、壁の厚みをW、本箱の奥行きをB、ドアの幅をD、本箱の最大の幅をLとすると

【問題1】
C=90, W=15, B=45,D=75を代入すると
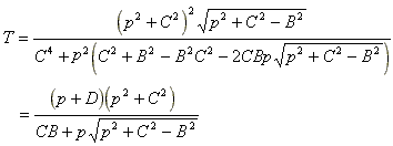
【問題2】
C=90, W=15, B=45,D=90を代入すると
![]()
ちなみに本箱をばらして持ち込むと
| 問題1は L= | 105*26 15 |
=182 cm , |
| 問題2は L= | 105*37 18 |
= | 1295 6 |
=215.83 cm までの本箱を持ち込めます。 |
◆出題者のコメント。
アンパンマンさんの答えは正解です。
三角関数の公式を使うと綺麗に解けるんですね。
気がつきませんでした。
少し煩雑ですが、ピタゴラスの定理と2次方程式の知識だけでも解を得られるので、他の方も考えてみてください。
なお、「一般」の方は追加の問題3にも挑戦してみてください。
「答えは正解」の意味が明確になるでしょう。
◆宮城県 アンパンマン さんからの解答。
【問題3】
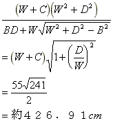
C=90, W=20, B=45,D=75を代入すると
| L= | 25305 135+16 ![]() |
ちなみにばらしてもちこむと
| 25305 135 |
= | 1687 9 |
=187.44 cm |
(本箱の高さは幅より大きいと部屋が十分大きいと仮定した。)
( 問題1,2も同様 )
◆出題者のコメント。
【問題3コメント】
とりあえず計算ミスがあると思います。
さらに、問題1の答えと値の大きさを比べてみてください。
ばらした方も計算ミスがあると思います。
◆宮城県 アンパンマン さんからの解答。
x=pは

の正の実数解とします。
![]()
とすると最大の幅Lは三つのケースに分けられます。
ケース1)S≦C
| このとき、L= | CD B |
です。 |
ケース2)C<S<C+W
このとき、L=T です。
ケース3)S≧W+C
このとき、
です。
ちなみに問題1)、2)にバラス場合の解答、計算ミスがあります。
正しい答え(多分)はそれぞれ
と
です。
問題3)は多分ケース2)でしょう。
またケース3)とケース2)の境目になるWの値は
を満たすWの最小の正の実数解でしょう。
◆愛知県 Y.M.Ojisan さんからの解答。
【部屋の模様替え問題3コメントと解答】
アンパンマンさんの解答は、考え方・分類など大筋は正解です。
が、最終の答えが解説不足で出題者もトレースできません。
そこで以下に一つの解答を示します。
記号はアンパンマンさんによっています。
その他下図に規定のものとします。

上図の U,Vを未知数として方程式を立てる。
直線h上をUの先端が動くとき
(1)D=B sin(θ)+U cos(θ)
(2)C=B cos(θ)+V sin(θ)
(3)L=U+V
| ここで 0<θ< | π 2 |
、D>B>0、C>B>0 |
(1)より
(1')U=D sec(θ)−B tan(θ)
このθ2回微分はD>Bなので
U''
= sec3(θ){D+D*sin2(θ)−2B sin(θ)}
> sec3(θ)B{1−2sin(θ)+ sin2(θ)}
>0
(2)より
(2')V=C cosec(θ)−B cotan(θ)
このθ2回微分はC>Bなので
V''
=cosec3(θ){C+C*cos2(θ)−2Bcos(θ)}
>cosec3(θ)B{1−2cos(θ)+ cos2(θ)}
>0
すなわち
(3')L''=U''+V''>0
| つまり L(θ)は0<θ< | π 2 |
において連続で、強い意味で下に凸であり、 |
(4)L(θ)=D sec(θ)+C cosec(θ)−B sec(θ)cosec(θ)
直線h上における壁の部分は S=Lsin(θ)とおくとき
C+W≧S≧C の範囲であるから
| (A) sin-1 | ( | C+W L |
) | ≧Θmin≧sin-1 | ( | C L |
)においては |
| (B) Θmin≦sin-1 | ( | C L |
)においては |
| (C) Θmin≧sin-1 | ( | C+W L |
)においては |
(B)(C)からは最終的にアンパンマンさんの最初の解答式で
W=0、W=Wとした解が得られる.
L'(Θmin)=0を 一般的に解くのは無理のようなので、以後は数値解による。
| L''(θ)>0 であるから L'(θ)は0<θ< | π 2 |
で単調増加である。 |
D=75、C=90、B=45において数値計算すると、
Θmin=0.8484053・・
これに対応する W=S−C=17.041・・
L=142.6778・・である。
よって、問題3の場合W=20なので(A)ケースとなり
L=約142.68cmである。
なお、ばらした時はB=0の意味だとすると、Lは下記値です。