◆奈良県の中学校3年生 ムタ さんからの解答。
Aから辺BCへ垂線をおろし、その交点をDとする。
辺BD、ADの長さをそれぞれP、Qとする。

三平方の定理より
P2+Q2=10・・・(1)
・・・(2)
(1),(2)を連立方程式で解くと
となる。
Qは高さにあたるので底辺×高さ÷2で
答えは6.5となる。
◆京都府 sambaGREEN さんからの解答。
AB2=12+32=10,
AC2=12+42=17,
BC2=22+52=29 から
三角形ABCは次の赤い三角形。
△ABC
=3×5−2×5÷2−1×4÷2−1×3÷2
=6.5

◆宮城県 アンパンマン さんからの解答。
h2+x2=10
h2+(x+sqrt(17))2=29
↓
x=1/sqrt(17),
h=13/sqrt(17)=13/AC
面積ABC=AC*h/2=6.5
◆和歌山県の中学校3年生 つつこ さんからの解答。
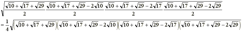
で、3辺の長さがわかっているので、
ヘロンの公式を使うことができます。
![]()
3辺の和の2分の1を s とおいて、
![]()
上の値を、ヘロンの公式
に代入して、
これを計算すると、最終的に答えは、6.5となります。