◆愛知県 Y.M.Ojisan さんからの解答。
等間隔の条件より、図1において、
△C1DFは二等辺三角形で点Eは底辺DFの中点であるので、
線分△C1E と線分DEFG(以後m)は直交する。
同様に、線分△C2F と線分mは直交する。

図2は線分mが線分ABと交わり、点Eが円C2の上にある条件下で、極端な場合として、点Eが点Aと重なり、かつ線分mと線分ABの交点である状態を示している。
この時、線分mは点Aにおける円C1の接線である。
よって、点C2からmに下ろした垂線の足F1は
円C1の内部には存在しない。

図3は線分mが線分ABと交わり、点Eが円C2の上にある条件下で、逆の極端な場合として、点Gが点Bと重なり、かつ線分mと線分ABの交点である状態を示している。
この時の点Eの位置E2は円C2とC1Bを直径とする円の交点であり、
従って円C1の内部の点である。
よって、線分E2G=E2Bの中点であり、
線分mに点C2よりおろした垂線の足である点F2は
円C1の外部には存在しない。

以上より、Fが円C2上である条件をはずした中で、線分mと線分ABの交点QがAからBへ移動するとき、
点Fは円C1の外部ないし円上の点F1から内部ないし円上の点F2に移動することがわかった。
従って,必ずその途中に円C1上の点となるFが存在する。
このとき、DEFGは等間隔に並ぶ。図2参照。
なお、交点Qが端点であるとすると、図2より、
DE=EF=0であり、よってEG=0。
このようになるためには、点C1点A点C2点Bは一直線上でなければならず
AB=0であり、2点で交わる条件に反する。
よって交点Qは端点ではない。
◆宮城県 アンパンマン さんからの解答。
Y.M.Ojisan さんの図1を参考して、解答します。

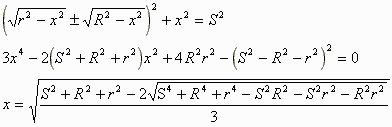
C1の半径をr、
C2の半径をR、
C1C2をS、
EF,DE,FGの長さをxとします。
LとC1C2の角度=arccos(x/S)