◆水の流れさんからいただいたレポートです
| 問題 <釣り銭と最短経路>
私のクラスの生徒は教材費に五百円払う必要があります。 |
| コメント 日常的な出来事ですので、興味があります。 |
解説
五百円玉を払うのをA,千円札を払うのをBとします。
釣り銭がないので、常にAの数がBの数より等しいか多ければよいのです。
まず、n=1,2,3,のとき、数えてみます。
n=1のとき、ABの1通り。
n=2のとき、AABB,ABABの2通り。
n=3のとき、
AAABBB,AABABB,AABBAB,
ABAABB,ABABABの5通り。
ここで、考え方を変えてみます。
これをAを→、Bを↑と表せば、→がn個、↑がn個の同じものを一列に並べる方法と考えます。
だから、基盤の目をした最短経路の問題に変化していきます。
分かり易くするために、求める数をK(n)とすると、
K(1)=1,K(2)=2,K(3)=5は図を書いて、分かるとします。
<参考:このK(n)をカタラン数と言います。>
n=4のときを描きます。
図のような△ABCの最短経路の道筋がK(4)になります。

K(4) を求めるのに、
よって、
K(4)
= K(3)+K(1)K(2)+K(2)K(1)+K(3)
= 5+1×2+2×1+5=14 になります。
<副産物>
これは、一般にK(0)=1と決めておけば、
K(n)=K(0)K(n−1)+K(1)K(n−2)+K(2)K(n−3)+・・・+K(n−1)K(0)という、漸化式が成り立ちます。
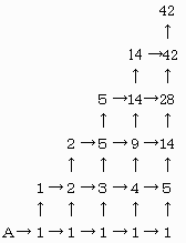
また、こんな数え方(書き込み方式)もできます。
n=5を求めます。

さらに、斜めの線に関しての対称性に気がつけば、
K(4)=1×1+3×3+2×2=14
K(5)=1×1+4×4+5×5=42
K(6)=1×1+5×5+9×9+5×5=132、・・・・・・
したがって、カタラン数K(n)は何個かの平方数の和として表せます。
さて、本題に入ります。n=4で描きます。
不適な経路を太線で書いてあります。

四角形DACBの最短経路の道筋は、組合せの記号を使えば、
8C4=8!÷(4!4!)=70通りあります。
ここから、対角線ABと交わる経路が不適ですから、この不適な経路の数を求めます。
例えば、図の太線の経路は不適ですが、これを直線T1T4について対称移動します。
ただし、直線T1T4に始めて出会った点から後の部分のみを対称に曲げて図の太線を考えると、すべての不適な経路は四角形AEFGの最短経路の数に等しくなります。
これは、
8C3
=8!÷(3!5!)
=56 通りとなり、
そこで、△ABCの最短経路の方法K(4)は、
K(4)
=8C4−8C3
=70−5
=14 として得る。
したがって、釣り銭のいらないもらい方K(n)は、
K(n)
=2nCn−2nCn−1
=2nCn÷(n+1) ・・・(答え)
研究 カタランの問題の原典
いくつかの数の積は、2つずつの数の積の計算を繰り返して行っている。
だから、どの2つずつの積を作っていく方法の数はどうなるかという問題(カタランの問題)が、1838年にカタランによって論じられた。
n個の数の順序が変わらない積の総数をC(n)とし、n個の数の順序を変えても良い積の総数をR(n)とする。
具体例をn=1,2,3,4で見ます。
*参考:n≧2のとき、次の性質があります。
さらに、1751年にオイラーは、ゴルトバッハへ次のような問題を手紙に書いている。
「平面上で、凸n角形を対角線によって3角形に分割する方法の数E(n)はどうなるでしょう。
ただし、互いに交わらない対角線のみを使用するものとする。」
具体例でn=3,4,5、・・・を考えます。

*注: E(n)=C(n−1)=K(n−2)の関係となる。
参考:1758年にセニェールが発見した漸化式
E(n)=E(2)E(n−1)+E(3)E(n−2)+E(4)E(n−3)・・・+E(n−1)E(2)最後に、カタラン数列を書きます。
なぜ、日常生活のこれらの現象が1つの数列として、見なされるか不思議です。
<追加記述>
カタラン数について、下記のような漸化式が成り立つことから、母関数を利用して、一般項 K(n)をnを用いて表してみよう。
| <副産物> これは、一般にK(0)=1と決めておけば、 |
数列 K(0),K(1),K(2),K(3),・・・,K(n−1) ,K(n) の母関数を
y=K(0)+K(1)x+K(2)x2+K(3)x3+・・・+K(n−1)xn-1+K(n)xnとおくと、漸化式の右辺は、y2のxn-1の係数に等しい。
y2=K(0)K(0)+{K(0)K(1)+K(1)K(0)}x+・・+{K(0)K(n−1)+K(1)K(n−2)+K(2)K(n−3)+・・+K(n−1)K(0)}xn-1+・・
K(0)K(0)=1=K(1) となるから、y2=K(1)+K(2)x+K(3)x2+K(4)x3+・・・+K(n)xn-1+ ・・・
ゆえに、
xy2=y−K(0) ,
xy2−y+1=0
これを,yについて解の公式から導いて、
y=(1±(1−4x)1/2 )÷2x
複号はx=0のとき、y=1となるように複号を決める。
ただし、分母を払って、2xy=1±(1−4x)1/2の式に代入すること。
したがって、求める母関数は
y={1−(1−4x)1/2}÷2x である。
これを展開した級数のxn の係数がカタラン数K(n)である。
さて、(1−4x)1/2 のxn 係数をL(n) とおくと、
L(0)=1で、n≧1のときのL(n)は2項定理により、
L(n)
=1/2・(1/2−1)・・・(1/2−n+1)(−4)n /n!
=(−1)(−3)・・・(3−2n)/2n ×(−4)n /n!
=1・3・・・・(2n−3)/n!×(−1)2n-1×2n
(n≧1)
分子に2,4,・・・,(2n−2)を補って(2n−2)!をつくれば、
L(n)
=−2(2n−2)!/ (n−1)!n!
=−2/nC(2n-2,n-1)・・・・・・(1)
<*C(2n-2,n-1)は組み合わせの記号です。>
よって、
(1−4x)1/2=1+ L(1)x+L(2)x2+・・・+L(n+1)xn+1+・・・したがって、
y={−L(1)x−L(2)x2−・・・−L(n+1)xn+1−・・・}÷2x
={−L(1)−L(2)x−・・・−L(n+1)xn−・・・}÷2
ここで、xnの係数はK(n)に等しいから、
ゆえに、(1)を代入して、
K(n)=C(2n,n)/n+1 ・・・・・・(答)
<*組み合わせの記号の表現が違うだけ>
これが、 K(n) の値を計算する式で、オイラーの公式と呼ばれている。
具体的に求めてみると、
K(1)=C(2,1)/2=2/2=1
K(2)=C(4,2)/3=6/3=2
K(3)=C(6,3)/4=20/4=5
・・・・・・
以上で、カタラン数のもっている漸化式から、一般項を求めてみました。<終了>
<引用文献>「数学ひとり旅」:石谷 茂 著 現代数学者
◆有理数・数列の性質へもどる
数学の部屋へもどる