◆東京都 千葉 英伸 さんからの解答。
【問題1】
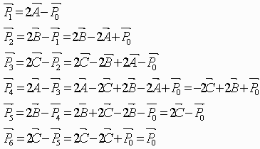
各点を位置ベクトルで表すことにして、
Pnの、定点Qについて対称な点Pn+1を考えると、
点Q は線分PnPn+1の中点なので、
| → Q | = |
1 ――― 2 | ( |
→ Pn | + |
→ Pn+1 | ) |
| ∴ | → Pn+1 | =2 |
→ Qn | − |
→ Pn | ・・・(1) |
さて、時刻6tに原子XがP0にあることを示すには、
| → P6 | = |
→ P0 |
式(1)を順番に使って計算してみましょう。

【問題2】
【問題2−1】
まず最初に、各定点Q1,Q2,・・・,Qnに便宜上の別名
Qn+1,Qn+2,・・・,Qn+n=Q2nをつける。
ただし、Qn+i=Qi (1≦i≦n)とする。
問題1と同様に、
| → P2n | = |
→ P0 |
時刻2nt以降は同じことの繰り返しなので、
時刻2nktには必ず点P0にあることが証明できる。
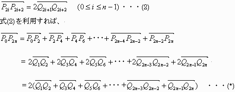
そこで、時刻2tごとの原子Xの振る舞いを考えてみる。

点 P2iにいる原子Xは、
定点Q2i+1 について対称な点P2i+1 に移動し、
点P2i+1からさらに定点Q2i+2について対称な点P2i+2に移動する。
図から明らかなように、
線分 P2iP2i+2は定点のつくる線分Q2i+1Q2i+2 に平行で、

さて、式(*)の括弧の中のn個のベクトルに注目すると、nは奇数なので、
点Qn はそれを含むベクトルの始点となる。
つまり、

式(*)'の括弧の中をよくよくみると、
定点をQ1 から順にQn までたどり、最後にQ1 に戻る閉曲線に他ならないので零ベクトルになる。
すなわち、
| → P0P2n | = |
→ 0 |
| → P2n | = |
→ P0 |
【問題2−1】
この問題は証明できません。
たまたまP0に戻ってしまう反例をあげておきます。

◆静岡県 ヨッシー さんからの解答。
【問題1】
条件より、
2 |
→ A | = |
→ P0 | + |
→ P1 | ・・ (1) |
2 |
→ B | = |
→ P1 | + |
→ P2 | ・・ (2) |
2 |
→ C | = |
→ P2 | + |
→ P3 | ・・ (3) |
2 |
→ A | = |
→ P3 | + |
→ P4 | ・・ (4) |
2 |
→ B | = |
→ P4 | + |
→ P5 | ・・ (5) |
2 |
→ C | = |
→ P5 | + |
→ P6 | ・・ (6) |
(1)-(2)+(3)-(4)+(5)-(6) より、
| → 0 | = |
→ P0 | − |
→ P6 |
| よって、 |
→ P6 | = |
→ P0 |
【問題2−1】
【問題1】と同様に
P1、P2・・・P2n をとります。
2 |
→ Q1 | = |
→ P0 | + |
→ P1 | ・・ (1) |
2 |
→ Q2 | = |
→ P1 | + |
→ P2 | ・・ (2) |
2 |
→ Q3 | = |
→ P2 | + |
→ P3 | ・・ (3) |
2 |
→ Qn | = |
→ Pn-1 | + |
→ Pn | ・・ (n) |
2 |
→ Q1 | = |
→ Pn | + |
→ Pn+1 | ・・ (n+1) |
2 |
→ Qn | = |
→ P2n-1 | + |
→ P2n | ・・ (2n) |
| → P1 | , |
→ P2 | の順に消去していくと、 |
(1)-(2)
2 |
→ Q1 | −2 |
→ Q2 | = | → P0 | − |
→ P2 |
(1)-(2)+(3)
2 |
→ Q1 | −2 |
→ Q2 | +2 |
→ Q3 | = | → P0 | + |
→ P3 |
●(1)-(2)+(3)-・・・+(n)
2 |
→ Q1 | −2 |
→ Q2 | +2 |
→ Q3 | −・・・+2 |
→ Qn | = |
→ P0 | + |
→ Pn |
● (1)-(2)+(3)-・・・-(n+1)
−2 |
→ Q2 | +2 |
→ Q3 | −・・・+2 |
→ Qn | = |
→ P0 | − |
→ Pn+1 |
● (1)-(2)+(3)-・・・+(n+2)
2 |
→ Q3 | −・・・+2 |
→ Qn | = |
→ P0 | + |
→ Pn+2 |
・・・
●(1)-(2)+(3)-・・・+(n)-(n-1)+・・・-(2n)
| → 0 | = |
→ P0 | − |
→ P2n |
|
→ P0 | = |
→ P2n |
あとはこれの繰り返しになるので、自然数kに対して、
時刻2nktに原子XはP0にある。
【問題2−2】
実はP0に戻ることはあります。
例えば、Q1,Q2,Q3,Q4が平行四辺形であるとき、
| → Q1 | − | → Q2 | = |
→ Q4 | − | → Q3 |
2 |
→ Q1 | −2 | → Q2 | +2 |
→ Q3 | −2 | → Q4 | = |
→ P0 | − |
→ P4 |
| より | → P0 | = |
→ P4 | が導け、 |