◆神奈川県の高校生 Osamu さんからの解答。
●或る三角形の3傍心による三角形を傍心三角形と呼ぶことにすると、
≪名前が既に定義されていたら教えてください...≫
△ABCの内心と傍心三角形の垂心、 △ABCの外心と傍心三角形の9点円の中心は それぞれ一致する。
△ABCと傍心三角形のそれぞれのオイラー線は△ABCの外心(傍心三角形の9点円の中心)で交わる。
△ABCの3傍心から各傍接角へ引いた3直線は△ABCの内心(傍心三角形の垂心)で交わる。
△ABCの3傍心から各傍接点へ引いた3直線は傍心三角形の外心で交わる。
△ABCの3頂点から対辺の各傍接点へ引いた3直線は一点で交わり、この点をNagel 点という。
●或る三角形の各頂点から対辺に下ろした垂線の足による三角形を足三角形と呼ぶことにすると、
≪名前が既に定義されていたら教えてください...≫
或る三角形において、鋭角の頂点は、足三角形の傍心と、鈍角の頂点は、足三角形の内心と、 それぞれ一致する。
∴「△ABCが鋭角三角形」⇔「足三角形の傍心三角形は△ABCと一致」
●△ABCの各辺の中点をP,Q,Rとすると、
△ABCと△PQRの重心、△ABCの9点円の中心と△PQRの外心、△ABCの外心と△PQRの垂心、△ABCと△PQRのオイラー線が それぞれ一致する。
●関数f(x) の第n 次導関数をF~n(x) と表すとします。
整関数f(x), 自然数n について
「n 重解x=ξをもつ」⇔f(ξ)=f'(ξ)=f"(ξ)=・・・=f~(n-1)(ξ)=0
↑これの証明が今年早稲田で出たらしい。(未確認)
これを一般の関数に応用して、
2曲線y=f(x), y=g(x) についてh(x)=f(x)-g(x) として
h(ξ)=0⇔「2曲線は点(ξ,f(ξ)) を共有する」
∃n:even, (h(ξ)=h'(ξ)=h"(ξ)=・・・=h~(n-1)(ξ)=0∧h~n(ξ)≠0)⇔「2曲線は点(ξ,f(ξ)) で接する」
2曲線y=log(x), y=ax2(a≠0) が、交点をもち、その交点における接線を互いに共有するときのa の値を求めよ。 (東海大学)
あと、美しいといえば、
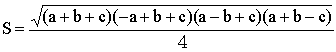
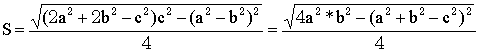
●ヘロンの公式
証明も容易ですし、
とすれば全て二乗の形になって(多少)使いやすくなる。
<一応証明>
余弦定理より、

(三角形だからsin(∠C)>0)
| 面積公式S= | absin(∠C) 2 |
より、 |
<<感想>>
でもヘロンの公式ってあまり使われない。