『サイコロをまわすと?』

『サイコロをまわすと?』解答


◆静岡県 ヨッシーさんからの解答。

さいころ 
図1は、サイコロを対角線(長さ3)を軸に回したときの図です。

(10度きざみで、軸に対し垂直な方向から見た図)

さいころ 
これを重ねると、図2のようになります。

半径最大の部分の半径()は、上1/3の円錐の高さと、母線の長さ(=サ イコロの1辺)3との三平方から出ます。

中央のくびれた部分は、サイコロをこの面で切ると断面が、1辺3/2の正六角形になりますから、外接円の半径も同じく3/2です。

図2の図形は、半径、高さの円錐(A)が2つと、
半径、高さ3+2の円錐から、
半径3/2、高さ3+3/2の相似な円錐を切り取った図形(B)が2つから出来ています。

 ∵高さをxとすると、
−3/2):/2=:x
 より x=3+2

図形Aの体積

1/3×π×2×=2π

図形Bの体積

まず半径、高さ3+2の円錐の体積は、

1/3×π×2×(3+2
=(6+4)π

次に、半径3/2、高さ3+3/2の円錐の体積は

1/3×π×(3/2)2×(3+3/2)
=(9/2+9/4)π

引き算して

(6+4)π−(9/2+9/4)π
=(3/2+7/4)π

全体積=2π×2+(3/2+7/4)π×2
   =(3+15/2)π


【出題者の水の流れさんからのコメント】

 上下3分の1の部分は良いのですが、真ん中3分の1は2つの円錐台のように思っておられますが、あの部分の曲面の母線みたいのは直線でなく、綺麗な画像をよく見ても分かるように、放物線なのです。
だから、どうしても、積分の力を利用しなければならないのではないでしょうか?。


◆静岡県 ヨッシーさんからの解答。

今日たまたま、解答の図2を見ていたら、「直線になってないぞ」と気づき、「やばいっ!」と思い、ふと見たら水の流れさんのコメントが...くぅ

では、解答のやりなおしです。

さいころ 
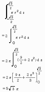
図3は、図2の中央部を軸方向に10等分した時の(1つのサイコロの)断面図です。

図3の縦方向にx軸、回転軸方向にz軸を取ります。
このとき、x=zの関係があります。

回転体の半径rは、回転軸から、各断面(多くは六角形)の頂点までの距離ですから、
2=(3/2)2+x2=9/2+2z2

よって、中央部の体積は、
積分

全体積=2π×2+5π=9π


【コメント】

 今度は間違いなく正解だと思います。
やっとすっきりしました。


◆岐阜県 水の流れさんからの解答。

 
 左の図のような、1辺の長さが3の立方体OABC−DEFGがある。
この立方体を、直線OFのまわりに回転して得られる立体Tの体積を求めよ。


<考え方>

 回転体の体積を求める問題ですが、一般に回転体を回転軸に垂直な平面でスライスすると、その切り口は円板、または、円環(ドーナッツ)にしかならないから、切り口の面積は比較的容易に求めることができます。
そこで、この問題では、回転軸OF上の点Pを通り、OFに垂直な平面αで立体OABC−DEFGをスライスした切り口を考えます。
すると、平面αによる立方体の切り口は、三角形または六角形となります。  
  <図ア>

ここで、図の対称性を考えて、三角形または六角形において、点Pから、切り口の各頂点への距離は、すべて等しい。

 
  <図イ>  

これらの図形を回転軸のまわりで回転させたとき円板を作るが、その円板の境界線を描くのは、回転から最も遠い点、すなわち、これらの図形の頂点である。<図イ>
この円板が、立体Tの切り口です。

次に、ここで得られた円板の面積を適切な変数を用いて関数として表します。
今述べたように、点Pから切り口に現れる正三角形(または六角形)の各頂点までの距離は等しい。
ゆえに、頂点の1つを点Qとすると、点Qは立方体OABC−DEFGにおいては、折れ線OAEF上にあるとして考えても一般性を失わない。

 
  <図ウ>

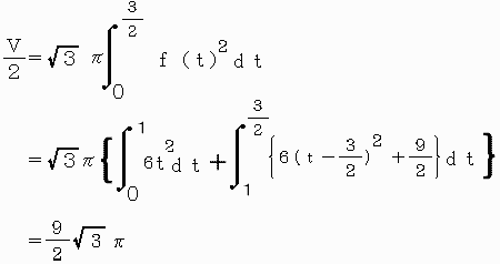
このように、点P、Qを定め、点Pの座標を(t、t、t)、線分PQの長さをf(t)とすると、切り口の円板の面積S(t)は、

S(t)=πPQ2=πf(t)2で与えられる。

 最後に、小立体の厚みの方向に対する注意が必要です。
切り口の面積を与える関数 f(t)の変数tの変化量凾狽ヘ、x軸(または、y軸、z軸)方法への変化量であり、小立体の厚みの方法(この場合は回転軸)とは異なる。

 
<図エ>

この問題では、変数tがx軸の正の方法に凾泊揄チするとき、小立体の厚みが実際に 回転軸方法にどのくらいかを求めてみると、

増加することがわかる。

よって、立体Tの体積Vは、

でなくて、

で計算します。 以上のことを理解して、解答をします。

<解答> 点P(t、t、t)を通り、ベクトルOF=3(1、1、1) に垂直な平面αは、
x+y+z=3t・・・(*) である。

平面αが立体Tと共有点をもつtの範囲は0≦t≦3であり、この範囲での立体Tの平面αによる切り口を考えて、Tの体積を求めよう。

立体Tは、平面x+y+z=3/2に関して対称である(Tの、この平面による切り口は図ウを参照)から、0≦t≦3/2の範囲における立体Tの体積を求め、2倍すれば良い。

平面αと折れ線OAEとの交点Qの座標は、
(1)点Qが辺OA上にあるとき(0≦t≦1のとき)、
(*)に、y=z=0を代入すると、x=3t
  ∴Q(3t、0,0)

(2)点Qが辺AE上にあるとき(1≦t≦3/2のとき)、
(*)に、x=3,y=0を代入すると、z=3(t−1)
  ∴Q(3、0,3(t−1)) である。

よって、線分PQの長さf(t)は、

0≦t≦1のとき;
 f(t)2
=(3t−t)2+t2+t2
=6t2

1≦t≦3/2のとき;
 f(t)2
=(3−t)2+t2+{3(t−1)−t}2
=6(t−3/2)2+9/2

立体Tを平面αで切った切り口は円(内部を含む)であり、その面積S(t)は、
S(t)=πPQ2=πf(t)2 であるから、
立体Tの体積をVとすると、

したがって、求める立体Tの体積Vは、V=9π・・・(答え)


 『サイコロをまわすと?』へ

 数学の部屋へもどる