『二等辺三角形の頂角』解答


◆東京都 matix さんからの解答。

【問題1】

【問題2】


【感想】

単純な問題のようで、解くのは複雑でしたが、結果が単純なので、改めて数学の奥深さや面白さがわかった気がします。

AP=CP= にして(2)の方法でやってみようと思いましたが、こんな3次方程式なんか解きたくないと思い、あきらめてしまいました。
(2)の3次方程式は個人的に有名な形ですから、すぐにわかったのに・・・。


◆東京都 かえる さんからの解答。

【問題1】

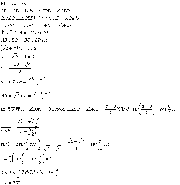
△ABC∽△CPB より
BP=x と置けば、

 +x):1=1:x
⇔( +x)・x=1

x>0に注意して、x=

よって、
∠A=15°⇔∠A=30°・・・【答】

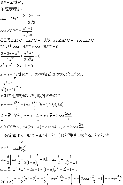
【問題2】


∠A=yと置く。
(1+BP)・siny=
⇔BP=
2siny
−1

△BCPに余弦定理

 2 =12+(
2siny
−1)2−2・1・(
2siny
−1)・cos(90°−y)

8sin3y−4sin2y−4siny+1=0

ここで、 4π
14
3π
14
π
に注意して、
sin( 4π
14
)=cos( 3π
14
4sin( π
14
)cos( π
14
)(1−2sin2 π
14
))=4cos3 π
14
)−3cos( π
14
8sin3 π
14
)−4sin2 π
14
)−4sin( π
14
)+1=0

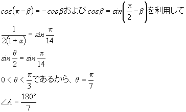
題意より、0<y< π
 ゆえ、
y= π
14
⇔∠A= 180
°・・・【答】


◆出題者のコメント。

幾何の問題において単純な結果が得られるとき、その裏には単純な解法が隠れているということは往々にしてあるもの です。
この問題についても(1)、(2)ともに三平方の定理さえ知っていれば解けます。
中学生の挑戦求む!勿論他の人もエレガントな解法を考えてみてください。


◆東京都 ぽこぺん さんからの解答。

【問題1】

出題者のコメントにあるとおり,三平方の定理のレベルで解いてみました。
問題2 はもう少し簡単になるような気がするのですが。

【問題1】

点 C から辺 AB に降ろした垂線の足を H とすると,H は PB の中点である。

直角三角形 CPH と CAH において CH が共通だから,PH = x とおくと,
1 − x2 = (2x+)2 − (x+)2,(x>0)

すなわち
4x2+(2)x−1 = 0  ⇒  x =
4

また,2x(2x+) = 1であるから,
AH
CA
x+
2x+
= 2x(x+) = ()x+1
2

2

となり,∠A = 30°を得る。

【別解】

上記と同様に点 H を取り,PH = x とおくと,
4x2+(2)x−1 = 0  ……… (1)
を得る。

次に,辺 AB 上に AQ=CQ となる点 Q を取る。
このとき,AP>CPなので,Q は線分 AP 上にある。

ここで AQ=CQ=y とおけば,
1 − x2 = y2 − (x−y+)2
が成り立つので,

xy − ()x + ()y = 3
2
  ……… (2)を得る。

このとき,(1) と (2) により,

HQ・HA−CH2
= (x−y+)(x+)−(1−x2)
= 2x2 + ()x − xy + ()x − ()y + 1
= 2x2 + ()x − 1
2
= 0

であるから,HC は △CAQ の外接円に点 C で接する。

したがって,接弦定理により ∠QAC=∠QCH となる。

また,∠PCH= 1
2
∠A であるから,
∠QCP = ∠PCH = ∠HCB = 1
2
∠A

が成立する。したがって,

∠ABC = ∠ACB = 5
2
∠A
∠A = 180°/6 = 30°
となる。

【問題2】

点 C から辺 AB に降ろした垂線の足を H とし,辺 AB 上に BH=QH となる点 Q を取れば,△CQB は二等辺三角形である。
このとき,PQ = x,QH = yとおくと,直角三角形 CQH,CPH,CAH において CH が共通だから,

1 − y2 = 2 − (x+y)2 = (1+x+2y)2 − (1+x+y)2

が成立する。このとき,第1辺=第2辺より,

x2 + 2xy = 1  ⇒  2y = 1−x2
x
  ……… (1)

また,第1辺=第3辺より,
4y2 + 2xy + 2y = 1
となるから,両式より y を消去して,
x3 + 2x2 − x − 1 = 0

すなわち

(x+2)x2 = x+1  ……… (2)

を得る。

次に,辺 AB 上に AR=CR となる点 R を取る。
このとき,AP<CP かつ AQ>CQ なので,R は線分 PQ 上にある。
ここで RQ = z とおくと,上と同様に,

1 − y2 = (1+x−z)2 − (y+z)2

となり,(2) を用いると,

2z(1+x+y) = (x+2)x = x+1
x

となるから,さらに (1) を用いて,

z = x+1
2x+2x2+2xy
x+1
2x+x2+1
1
x+1

を得る。これより,

QA・QR = 1 = QC2

であるから,方羃の定理により QC は △ARC の外接円に点 C で接する。

したがって,接弦定理により ∠RCQ=∠RAC となり,

∠ABC = ∠ACB = ∠ACR + ∠RCQ + ∠QCB = 3∠A

が成立する。
すなわち,∠A = 180°
7
である。

(注: 点 A,R,C は正七角形の隣り合った3頂点である)


◆出題者のコメント。

まだ中学生でも解ける解法とは言いがたいですね。
少しヒントを出させていただくと、AB=xとおいたとき、(1)、(2)で共通する三角形があるはずです。
この三角形の特殊性を利用します。
PからACに垂線を下ろすと…


◆東京都の高校生 もやし さんからの解答。

【問題1】

図1において、BP=aとおく。


△ABCと△CBPにおいて、
∠B共通,∠ACB=∠CPBから二角相等より、
△ABC∽△CBP

よって、 AB:CB=BC:BP

 +a):1=1:a
2 a−1=0

a>0の範囲でこれを解くと、
a=

ここで、図2のように△ABCの外接円を描き、CPの延長と△ABCの外接円との交点の内、Cでない方をQとすると、 方べきの定理から、
QP×CP=AP×BP



QP×1= ×

よって、QP= −1
故にCQ=QP+CP=

図3のように△BCQだけ取り出すと、
円周角の定理より、∠BQC=∠BAC



また、△ABC∽△CBPから、∠BAC=∠BCP

よって、∠BCP=∠BQCとなり、△BCQはBC=BQである二等辺三角形なので、BからCQに垂線BHを下ろすと、
CH=
CQ=

また、△BCHにおいて三平方の定理から、BH=
よって、BH:CH:BC=

:1=1: :2

△BCHは、三辺の比が1: :2である直角三角形なので、
∠BCH(∠BCP)=30°

∴∠A=∠BCP=30°

これなら中学生にも簡単にわかると思います!
(方べきの定理は△APCと△QPBの相似と同じことなので)


 『二等辺三角形の頂角』へ

 数学の部屋へもどる