◆愛知県 Y.M.Ojisan さんからの解答。
r=−1まで拡張して 次の定義としてもよい。
(1) B(0, r) = 1 (r≧0)
(2) B(n, r) = B(n-1, r+1) + B(n, r-1) (n>0,r≧0 のとき)
(3) B(n, -1) = 0 (n>0)
【問題1】
式(2)を図に表すと パスカルの三角形の半分を歪ませた構造であり、中央線上で0である。
従って、B(n, r) は(1-x)(x+1)2n+rの xn の係数である。 ----(4)
即ち、

【問題2】 母関数から証明する。
【補題1】 P,Qを非負整数とするとき

∵ 地道に微分を繰り返し整理すると等式が得られる。

22Q+12P(-1)P+1=22Q2P+1(-1)P+1=4Q(-4)P+1 であるから補題1が成立する。
【補題2】 Qを1以上の整数とし、 P=flloor(Q/2) R=floor((Q-1)/2)とするとき。

∵ Qが偶数と奇数の場合に分け、2項展開を行って、補題1を適用する。このとき√(1−4x)の偶数乗の項はxのP次以下の整式なのでP+1回微分すると0であることを利用する。
Q=2P P≧1 の時 R=P−1 であって、



同様に Q=2P+1 P≧0 の時 R=P であって、



【補題3】 B(n,r)の母関数 f(r、x)は 下記である。

∵ 次の計算を行うと

であり、下記である。

上記式は補題2に他ならず、
| 1−√(1−4x) | r | |
| f(r、x)xr=( |
|
) |
| 2 |
である。これを計算すれば補題3が得られる。
【問題2本題】
補題3より f((u+v+1)+1、x)=g(x)u+v+2 である。
g(x)u+v+2=g(x)u+1×g(x)v+1=f(u+1、x)×f(v+1、x)である。
この等式のxのn乗の係数を比較すれば問題の等式(下記)が得られる。
| Σ | B(i, u) B(j, v) = B(n, u+v+1) | |
| i+j=n |
【問題3】 初等的に求める。
(1)一列に並んだ2n−1個からnを選ぶ組み合わせの数はC(2n-1,n)=C(2n-1,n-1)である。
一方、選んだものの左端の位置(k) k=1〜nで分類して合算すると
| n Σ k=1 |
C(2n-k-1, n-1) |
であり、これらは等しい。
(2)一列に並んだ2n個からn+1を選ぶ組み合わせの数はC(2n,n+1)=C(2n,n-1)である。
一方、選んだものの左端から2番目のもの位置(k+1) k=1〜n で分類して合算すると
左側 kとおり、右側 C(2n-k-1, n-1)とおり であるから
| n Σ k=1 |
k C(2n-k-1, n-1) |
であり、これらは等しい。
(3)一列に並んだ2n+1個からn+2を選ぶ組み合わせの数はC(2n+1,n+2)=C(2n+1,n-1)である。
一方、選んだものの左端から3番目のもの位置(k+2) k=1〜n で分類して合算すると
左側 k(k+1)/2 とおり、右側 C(2n-k-1, n-1)とおり であるから
| n Σ k=1 |
(k+1)*k*C(2n-k-1, n-1)/2 |
であり、これらは等しい。問題2の結果とあわせると、
| n Σ k=1 |
k*k*C(2n-k-1, n-1)=2*C(2n+1,n-1)-C(2n,n-1)= |
|
【問題4】 これも初等的に求める。
(1)一列に並んだ2n−1個からn個以上を選ぶ組み合わせの数の2倍は対称性から 22n-1である。
一方、選んだものの右からn番目のもの左端からの位置(k) k=1〜nで分類して合算して2倍すると
| n Σ k=1 |
2kC(2n-k-1, n-1) |
であり、これらは等しい。
(2)一列に並んだ2n個からn+1個以上を選ぶ組み合わせの数の2倍は対称性から 22n−C(2n,n)である。
一方、選んだものの右からn+1番目のもの左端からの位置(k) k=1〜nで分類して合算して2倍すると
| n Σ k=1 |
2kC(2n-k, n)= | n Σ k= |
(2-k/n)2kC(2n-k-1, n-1)=22n-Ans/n |
であり、これらは等しい。計算すると Ans=nC(2n,n)
(3)一列に並んだ2n+1個からn+2個以上を選ぶ組み合わせの数の2倍は対称性から 22n+1-2C(2n+1,n)である。
一方、選んだものの右からn+2番目のもの左端からの位置(k) k=1〜nで分類して合算して2倍すると
| n Σ k=1 |
2kC(2n+1-k, n+1)= | n Σ k= |
((4n+2)/(n+1)-(4n+1)*k/(n*(n+1)k+k2/(n*(n+1))2kC(2n-k-1, n-1) |
であり、これらは等しい。
計算すると Ans=(22n+1-2C(2n+1,n))*n*(n+1)+(4n+1)*問題4(2)Ans-(4n+2)*n*問題4(1)Ans
即ち
| n Σ k=1 |
k2 2k C(2n-k-1, n-1) = n (22n - C(2n, n)) |
【P.S.】 問題3の流れでは (4)として
| (4) | n Σ k=1 |
k3 C(2n-k-1, n-1) = n B(n-1, 3) |
が成立するのかと思いましたが、成立していないので、Bの方から攻めるのはやめました。偶然の産物でしょうか?
【出題者のコメント】
Y.M.Ojisan 氏に早速解かれてしまいましたが,問題2と問題3(P.S.)に関してコメントします。
●問題2に対するコメント
上記補題3の B(n, r) の母関数は漸化式から直接導くこともできます。 まず,母関数を番号をずらさずに
| g(x, r) = B(0, r) + B(1, r) x + B(2, r) x2 + … | |
| x g(x, 1) + 1 = g(x, 0) | |
| x g(x, r+1) + g(x, r-1) = g(x, r) | |
| g(x, 0) = | 2 1+√(1-4x) | ( = | -1 2x |
∞ Σ r=1 |
(-4x) r ( | 1 2 | )( | 1 2 | - 1 ) … ( | 1 2 | - r + 1 ) = | ∞ Σ r=0 |
x r | C(2r, r) r + 1 | ) | |||
| g(x, 1) = | g(x, 0) - 1 x | = | 1 x |
{ | 2 1+√(1-4x) | - 1 } = | 1-√(1-4x) x (1+√(1-4x)) | = | 4 (1+√(1-4x)) 2 |
= { g(x, 0) } 2 | ||
| g(x, r+1) = | g(x, r) - g(x, r-1) x |
= | g(x, 0) r+1 - g(x, 0) r x |
= | g(x, 0) - 1 x |
{ g(x, 0) } r = { g(x, 0) } r+2 | |
| g(x, u) g(x, v) = { g(x, 0) } u+v+2 = g(x, u+v+1) | |
| Σ | B(i, u) B(j, v) = B(n, u+v+1) | |
| i+j=n | ||
●問題3に対するコメント
当初,出題者は母関数を利用した下記のような解答を用意していたのですが,これをもう一段進めて計算してみると,
| n Σ k=0 | k3 C(2n-k-1, n-1) = | 2 n2 (13n - 1) (n + 1)(n + 2)(n + 3) |
C(2n-1, n) = | n (13n - 1) 4 (2n + 1) |
B(n-1, 3) | |
[母関数を利用した解答3・4]
6 本の等式で,n の代わりに n+1 とした式を証明することにする。 さらに,証明すべき式を次のように変形して,計算しやすい形に直しておく:
| n+1 Σ k=1 | φ(k) C(2n-k+1, n) = | n Σ k'=0 | φ(k'+1) C(2n-k', n) = | n Σ k''=0 | φ(n-k''+1) C(n+k'', k'') | |
| fn(x) = | n Σ k=0 | xk C(n+k, k) | |
| 問題 3 (1) : | n Σ k=0 | C(n+k, k) = f(1) |
| 問題 4 (1) : | n Σ k=0 | 2n-k+1 C(n+k, k) = 2n+1 | n Σ k=0 | 1 2k | C(n+k, k) = 2n+1 f( | 1 2 | ) | |
| 問題 3 (2) : | n Σ k=0 | (n-k+1) C(n+k, k) = (n+1) | n Σ k=0 | C(n+k, k) - | n Σ k=1 | k C(n+k, k) = (n+1) f(1) - f’(1) | |||
| 問題 4 (2) : | n Σ k=0 | (n-k+1) 2n-k+1 C(n+k, k) = 2n+1 { (n+1) | n Σ k=0 | 1 2k | C(n+k, k) - | 1 2 | n Σ k=1 | k | 1 2k-1 | C(n+k, k) } | ||
| = 2n+1 { (n+1) f( | 1 2 | ) - | 1 2 | f’( | 1 2 | ) } |
| 問題 3 (3) : | n Σ k=0 | (n-k+1)2 C(n+k, k) = (n+1)2 | n Σ k=0 | C(n+k, k) - 2(n+1) | n Σ k=1 | k C(n+k, k) + | n Σ k=1 | k2 C(n+k, k) | ||||
| = (n+1)2 f(1) - 2(n+1) f’(1) + ( f’(1) + f”(1) ) |
| 問題 4 (3) : | n Σ k=0 | (n-k+1)2 2n-k+1 C(n+k, k) |
| = 2n+1 { (n+1)2 | n Σ k=0 | 1 2k | C(n+k, k) - (n+1) | n Σ k=1 | k | 1 2k-1 | C(n+k, k) + | 1 2 | n Σ k=1 | k2 | 1 2k-1 | C(n+k, k) } | ||
| = 2n+1 { (n+1)2 f( | 1 2 | ) - (n+1) f’( | 1 2 | ) + | 1 2 | f’( | 1 2 | ) + | 1 4 | f”( | 1 2 | ) } |
| のように,すべての式の値を f(x) やその導関数の 1 と | 1 2 | における値で表すことができる。 |
| (注: 問題 3・4 の (3) では, ( x f’(x) )’ = | n Σ k=1 | k2 xk-1 | C(n+k, k) のようにして k2 を作る。) |
一方, f(x) について
| d dx | (1-x) f(x) = n f(x) - (n+1) C(2n+1, n) xn | |
| (1-x) f’(x) = (n+1) { f(x) - C(2n+1, n) xn } (*) | |
[1] この式に x = 1 を代入すれば,
| f(1) = C(2n+1, n) | |
[2] また, x≠1 のとき,微分方程式
| f’(x) = | (n+1) f(x) - (n+1) C(2n+1, n) xn 1 - x | (**) | |
| f(x) = |
(1 - x)n+1 |
||||
| となるが,この式で x = | 1 2 | とおけば |
| f( | 1 2 | ) = 2n | |
[3] 式 (**) で x→1 の極限を取り,右辺を l'Hospital の定理を用いて計算すると,
| f’(1) = - (n+1) { f’(1) - n C(2n+1, n) } | |
| f’(1) = | n(n+1) n+2 | C(2n+1, n) | |
| [4] 式 (**) に x = | 1 2 | を代入すると, |
| f’( | 1 2 | ) = 2(n+1) { 2n - C(2n+1, n) | 1 2n | } | |
[5] 式 (*) をさらに微分すると
| f”(x) = | (n+2) f’(x) - n(n+1) C(2n+1, n) xn-1 1 - x | (***) | |
| f”(1) = | (n-1)n(n+1) n+3 | C(2n+1, n) | |
| [6] 式 (***) に x = | 1 2 | を代入すると, |
| f”( | 1 2 | ) = 2(n+2) f’( | 1 2 | ) - 2n(n+1) C(2n+1, n) | 1 2n-1 |
|
以上 [1]〜[6] の具体的な値を問題 3・4 の (1)〜(3) に代入すれば,証明すべき式の右辺が得られる。
◆愛知県 Y.M.Ojisan さんからのコメント。
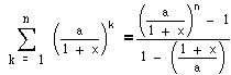
問題3と問題4を母関数から解くほうは、次の関係をベースに、
問題3はa=1 問題4はa=2として考えました。

a=1のとき(問題3)では下記ですが、これに(1+x)2n-1を両辺に掛け、xのn−1乗の係数を比較すれば(1)です。

また、(1+x)2nを両辺に掛け、xのn乗の係数を比較すれば
(2)のkのところが(2-k/n)のものが得られます。
さらに、(1+x)2n+1を両辺に掛け、xのn+1乗の係数を比較すれば
(3)のk2のところが(2-k/n)(2−(k+1)/(n+1))のものが得られます。
後は四則演算です。
a=2のとき(問題4)では下記ですが、これに(1+x)2n-1を両辺に掛け、
Σ内のxのn−1乗の係数を計算すれば(1)です。

これは若干説明が必要です。
Σの前に(1−x)が掛かっています。
これはΣ内のxpとxp−1の項の係数の差が右辺のxpの項の係数であることを示しています。
従って左辺のΣ内のxn−1の係数は右辺のxの0〜n−1乗の係数の和となります。
右辺は2n+1(1+x)nー1−2(1+x)2nー1です。
1項目はx=1 、 2項目は対称性からx=1とした値の半分がその和となることが判ります。
(2)も問題3と同様で(1+x)2nを両辺に掛け、Σ内のxのn乗の係数を求めます。
右辺は2n+1(1+x)n−2(1+x)2nです。
1項目はx=1、2項目は対称性からx=1とした値の半分とC(2n,n)がその和となります。
(3)も問題3と同様、(1+x)2n+1を両辺に掛け、Σ内のxのn+1乗の係数を求めます。
右辺は2n+1(1+x)n+1−2(1+x)2n+1です。
1項目はx=1、2項目は対称性からx=1とした値の半分がその和となります。
後はまた四則演算です。