◆東京都 小林 祐介 さんからの解答。
【問題1〜4】
球がn枚の平面で題意を満たすように分割されていた時、
新たにn+1枚目の平面を題意を満たすように加えると、
その平面はn枚の平面によって2n枚に分割され、
新たに2n個の領域が発生する。
よって球をn枚の平面で切った時の分割領域の最大値は
| 2+ |
n Σ k=1 | 2(k−1)=n2-n+2 |
これより
問題1の答:8
問題2の答:14
問題3の答:22
問題4の答:n2-n+2
【問題5】
球がその中心を通るいくつかの平面によって分割される時、分割された断片は球の中心を頂点とする楔形となり、球の表面を必ず含む。
よって問題5は問題4と同値となる。
答:n2-n+2
◆東京都 千葉 英伸 さんからの解答。
【問題1】
3枚目の平面が、他の2枚の平面との交線で図のように4つに分割されるとき最大で、8個の領域に分割されます。
なぜなら、図の4つの平面領域が、元からある球の4つの空間領域をそれぞれ2分しているから。

【問題2】
同様に球が8個の領域に分割されているとき、4枚目の平面が、他の3枚の平面との交線で図のように7つの平面領域に分割されるとき最大で、
8+7=15個の領域に分割されます。

【問題3】
同様に、さらに5枚目の平面上で、交線が図のようになるとき最大になり、
15+11=26領域。

【問題4】
円に関する問題3題の問題2の解答を利用します。
円がn本の直線によって分割される領域の最大個数をanとすると、
(n≧0)・・・(1)
でした。
球がn枚の平面で領域分けされているときに、
n+1枚目の平面で領域がどのように増えるか考えてみましょう。
n+1枚目の平面は他の平面との交線でいくつかの平面領域に分けられますが、その平面領域それぞれが、元からある球の空間領域を2分します。
つまり、n+1枚目の平面上の交線で分けられた平面領域の数だけ、球の空間領域は増加します。
従って、この交線で分割された平面領域の数が最大になるように、
n+1枚目の平面を配置したとき、球の分割も最大になります。
帰納的に考えた場合、この平面領域の個数は(1)式に他なりません。
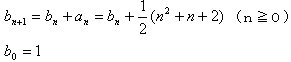
よって、n枚の平面で分割される球の領域の最大数をbnとすると、

これを解くと、
![]()
この一般項は問題1〜問題3の答えを満たします。
【コメントその1】
小林さんの解答は、球の中心を通る平面という条件付きの場合の解答だと思います。
円に関する問題3題の問題2やこの問題は、特に円や球にこだわらずに、2次元平面や3次元空間を分割する場合と同じですね。
【問題5】
今度は球面上を閉じた大円で切る場合ですが、
n+1本目の大円を、3つの大円で交点を共有しないようにとれば最大になります。
(大円なので必ず他の大円と交わり、球面上なので平行にはならない)
この場合、他の大円とそれぞれ2点で交わるので、
n+1本目の大円は2n本の弧に分割され、それぞれの弧が元からの領域を2分します。
従って、大円で分割される領域の最大数 の漸化式は、
(ちょっと特殊な場合なのか、n=0のときには上の漸化式が成立しない。)
これを解くと、

【コメントその2】
球面上の1点を無限遠点とすると、平面をn個の円で最大何個の領域に分けられるかという問題と同じですね。
それにしても、n=0で成立しない変な漸化式です。
答えは合っていると思うのですが・・・
【青木コメント】
千葉さんのご指摘の通りだと思います。
◆東京都 小林 祐介 さんからの解答。
【問題1〜4】
この問題は極めて大きい球を仮定すれば空間の分割問題に還元できます。
最初に
平面がn-1本の直線(1点で3本以上交わることがない)で分割されている時、新たにn本目の直線を加えると、
この直線はn-1個の点によってn個に分割される。
またこの時、平面の分割部分もn個増える。
よって平面がn本の直線によって分割されている時、その数は
| 1+ |
n Σ k=1 | k= |
n2+n+2 ―――――― 2 |
次に、空間がn-1枚の平面(2平面が交差してできる直線が互いに平行(一致を含む)でない)で分割されている時、新たにn枚目の平面を加えると、
この平面はn-1本の直線によって
|
n2-n+2 ―――――― 2 | 個に分割される。 |
またこの時、空間の分割部分も
|
n2-n+2 ―――――― 2 | 個増える。 |
よって空間がn枚の平面によって分割されている時、その数は
| 1+ |
n Σ k=1 | (k2ーk+2)= |
n3+5n+6 ―――――――― 6 |
ちなみにこのうち開いている部分は
(1) 閉じている部分の最外縁をなしている平面の分割数
(2) (1)と平行で閉じている部分を挟んで反対側に平面を仮想した時のその分割数
を足したもので、それぞれ
|
n2-n+2 ―――――― 2 | 個なので |
n2−n+2個
閉じている部分は、全体から開いている部分を引いて
|
(nー1)(nー2)(nー3) ――――――――― 6 | 個 |
【問題5】
大円で分割しても、そうでなくても答が同じになることが問題4の答から言えます。