◆広島県 清川 育男 さんからの解答。
初項をX 終項をYとする。
項数 Y-X+1 となる。
ガウスの方法より、
(X+Y)*(Y-X+1)=2XY
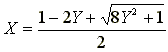
Xについて解く。
Z2=8Y2+1 と置く。
zは奇数。
| X= | 1-2Y+Z 2 | ........(1) |
Z2-8Y2=1 ..........(2)
(1),(2)を満たせばよい。
(2)はペルの方程式
Z=3,Y=1は(2)式を満たす。

(1),(2)を満たす解は無数に存在する。
| 初項 | 1 | 3 | 15 | 85 | 493 | 2871 | 16731 | 97513 | 568345 | 3312555 | ..... |
| 終項 | 1 | 6 | 35 | 204 | 1189 | 6930 | 40391 | 235416 | 1372105 | 7997214 | ..... |