◆愛知県 Y.M.Ojisan さんからの解答。
【問題1】 165度
点DはAFを固定したとき円周角45度の点の軌跡であることを利用し、△DAFの外接円の中心を原点とする座標系で考える。
tan(75度)=2+
を用い
F:(-1,-1)A:(1,-1)B:(0,1+
) D:(
cos(θ),
sin(θ))として一般性を失わない。
| さらにcos(θ)= | 1-t2 1+t2 |
, sin(θ)= | 2t 1+t2 |
,t=tan( | θ 2 |
) を用いると |
この2次方程式は重根をもち
(=△DAFの外接円とFD:BD=2:1のアポロニウスの円は接する)
![]()
である。
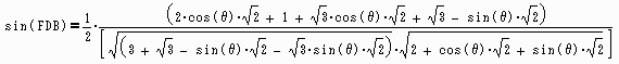
∠FDBのsinはベクトルDBとFDの外積から
| tを代入し計算すると sin(∠FDB)= | 1 2 |
より∠FDB=150度である。 |
(30度除外理由は省略)
よって ∠ADB=360−∠FDB-45=165度
ちなみに D:(5-2
, 1+10
)/13
【問題2】 150度
C=A+(B−A)*90度回転/
より
| C:( | -2 |
,-1- | 1 |
) |
E=A+(D−A)*90度回転 より
E:(-1-10
,-21-2
)/13
直線CE,BDの交点を求める(線形代数)と
G:(10-4
,-11+7
)/13
である。
| 角AGBのsinはベクトルGAとGBの外積から 計算して | 1 2 |
を得る。 |
よって∠ADB=150度である。
(30度除外理由は省略)
【感想】
たぶんこんな解答を作者は期待されていないでしょう。
なまじ数式処理ソフトがあると考えなくなり、面白いところを通過しているものと思います。
ただ、かなり大昔のソフトなので、大抵応答なしかPCがダウンして滅多に解けたことがなく、これは珍しいのです。
◆出題者のコメント
アポロニウスの円と45度を見込む円との交点を求める手法で解く解法は予想してましたが、作者はあまりの計算量のた
め挫折しました。
よく解けましたね。
◆静岡県 村松 芳子 さんからの解答。
【問題1】
△BAFは頂角30°の二等辺三角形であるから、両底角は75°である。
∠BAF=∠BFA=75°
△ABDをABで折り返し△ABHを作図する。
△BFDをBFで折り返し△BFIを作図する。
△AFDをAFで折り返し△AFJを作図する。
すると、△BIHは正三角形、△IFJと△HAJは頂角150°の二等辺三角形である。
ゆえに
∠FIJ=∠FJI=∠AHJ=∠AJH=15°
ゆえに
∠HJI=∠AJF−∠AJH−∠IJF=45°−15°×2=15°となる。

△IFJをIJで折り返し△IKJを作図すると、KはHJ上にくる。
ここで ∠HKI=30°となる。
△BHIをHIで折り返し、△HILを作図する。
∠HLI=60°、HL=IL、∠HKI=30°だから、中心角、円周角の関係からH,I,Kは、中心Lの同一円周上の点であると言える。
ゆえに IL=LK=LH=BD(=1とおく)
また、IK=IF=DF(=2とおく)
IL+LK=2、IK=2より、ILKは直線IKと一致すると言える。
すなわち ∠HIK=∠HIL=60°となる。
ゆえに
∠BDF
=∠BIF
=∠BIH+∠HIK+∠KIJ+∠JIF
=60°+60°+15°+15°
=150°
したがって、
∠ADB=360°−150°−45°=165°
(終わり)
◆出題者のコメント
村松さんの解答に対するコメントです。
三角形の内部に特定点がある場合、このように3辺に対してこの点と対称な点をとるという手法はなかなか有効なようですね。
気づきませんでした。
同様に問題2も解けませんでしょうか?
◆出題者のヒント
しばらく待ってみましたが、期待していた解答がつかないようなので、少しばかりヒントを。
私の持っている解法は問題1、問題2共々、キーポイントは30度、75度、75度の二等辺三角形の性質を利用するものです。
私が知っている性質は以下の2点でした。

(1) 角Aが直角の直角二等辺三角形ABCにおいてAを通ってBCに平行な直線を引き、その直線上にBC=BDとなるDを図のように取れば、三角形BCDは30度、75度、75度の二等辺三角形である。
(2) 正方形ABCD内部にEB=EC,∠BEC=150度となるEをとれば、三角形ABE,三角形DCEは30度、75度、75度の二等辺三角形である。
これらの性質を問題1、問題2ともどもうまく利用すると角度を求めることができます。
性質(2)は複数回使用する必要があるかもしれません。
もちろんこれらの性質を利用しない解法も引き続き募集しています。
(そちらのほうがうれしいかも)