◆神奈川県 @JJJJJJ さんからの解答。
exp(iπ)=−1というのはダメでしょうか?
その他の例では
(
)x=3(=有理数)とすると、
| x= |
2*log3 log2 | ・・・(=無理数)。 |
◆出題者の東京都 Air さんからのコメント。
iπは無理数ではなく、虚数なのでexp(iπ)=−1は条件を満たしません。
もう一つの例は正解だと思いますが、
|
2*log3 log2 | が無理数であることが証明できれば完璧でしょう。 |
この方針だと例は無数にありそうですが、想定していたものはlogを用いません。
ということで問題を少し変更します。
◆神奈川県 いわし さんからの解答。

なんていうのはいかがでしょうか。
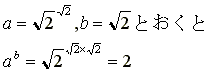
◆埼玉県 大塚 秀幸 さんからの解答。
√2は、(T)有理数 または (U)無理数
(T)ならば、無理数の無理数乗が有理数になっている。
(U)ならば、(
√2)√2=2 となり、
無理数の無理数乗が有理数になる。
つまり、具体的な構成はできていないが、「無理数の無理数乗が有理数になる」数の存在が証明された。
◆宮城県 甘泉法師 さんからの解答。
【問題1】
例 eln2=2
【問題2】
例 a=21/π、b=π