◆東京都 小林 祐介 さんからの解答。
【問題1】
二項定理より
nC0+nC1+…+nCn-1+nCn
=(1+1)n
=2n
【問題1別解】
nC0+nC1+・・+nCn-1+nCn=2n・・(1)と仮定する。
[1] n=1の時
1C0+1C1=21
で成り立っている。
[2] n=kの時、(1)が成り立っているとすると
n=k+1のとき
k+1C0+k+1C1+…+k+1Ck+k+1Ck+1k+1C0=kC0=1,
=k+1C0+(kC0+kC1)+…+(kCk-1+kCk)+k+1Ck+1
k+1Ck+1=kCk=1より
k+1C0+k+1C1+…+k+1Ck+k+1Ck+1
=2(kC0+kC1+…+kCk-1+kCk)
=2k+1
で成り立っている。
[1],[2]より@は全ての自然数nについて成り立つ。
【問題2】
問題1と同様に
nC0−nC1+…+(-1)n×nCn
=(1−1)n
=0
【問題2別解】
[1] n=1の時
1C0−1C1=0
[2] n≧2の時
nC0−nC1+…+(-1)n-1nCn-1+(-1)nnCnnC0=n-1C0=1,nCn=n-1Cn-1=1より
=nC0−(n-1C0+n-1C1)+…+(-1)n-1 (n-1Cn-2+n-1Cn-1)+(-1)n nCn
nC0+nC1+…+nCn-1+nCn=0
[1],[2]より全ての自然数nについて成り立つ。
【問題3】
2nCn
=2n-1Cn+2n-1Cn-1
=2n-2Cn+2×(2n-2Cn-1)+2n-2Cn-2
=2n-3Cn+3×(2n-3Cn-1)+3×(2n-3Cn-2)+2n-3Cn-3
=…(n回この操作を繰り返す)
| =2n-nCn+n(2n-nCn-1)+ |
n(n-1) 2 | (2n-nCn-2)+…+ |
n(n-1) 2 | (2n-nC2)+n(2n-nC1)+2n-nC0 |
=(nC0)2+(nC1)2+…+(nCn)2
この式はパスカルの三角形において
nCk(k≦n)から2nCnの項にいたる道筋が
ちょうどnCk通りあることを示している。
【問題4】
[1]nが奇数の場合、
2nCn=nC02+nC12+… +nCn2において
nC02=nCn2,
nC12=nCn-12,
…
nC(n-1)/22=nC(n+1)/22より
2nCnは偶数。
[2]nが偶数の場合、
2nCn=nC02+nC12+… +nCn2において
nC02=nCn2,
nC12=nCn-12,
…
nCn/2-12=nCn/2+12
nCn/2においてn=2kとおくと、
nCn/2=2kCkとなる。
この2kCkを上の[1][2]の2nCnにあてはめると、
もとの2nCnは有限の整数なのでいつかは偶数の和に分解できる。
よって2nCnは偶数。
【コメント】
実は元の問題は問題4だけだったのですが、私は他の証明が思いつかなかったので、ヒントとして問題3を追加しました。
問題3の式を使わないで、問題4を証明できるのでしょうか。
◆京都府 sambaGREEN さんからの解答。
【問題4】
2nCnはn個の白石とn個の黒石を一列に並べる場合の数です。
この中には白黒反転させた並べ方が必ずペアーで存在します。
●○●●○・・・●○○
○●○○●・・・○●●
というふうに。
したがって,2nCnは偶数。
◆神奈川県 いわし さんからの解答。
【問題4】
図のような縦横n区画((n+1)本)の格子状の道で、対角線上の頂点AからBへの最短経路の数Nは
N=2nCnです。
その任意の経路(例えば図の赤い経路)について、ABに関して対称な経路(青い経路)が存在しますから、Nは偶数です。
◆四年寝太郎 さんからの解答。
【問題3】
(x+y)2n = (x+y)n * (x+y)n であり、
| (x+y)2n = |
2n Σ i=0 | 2nCi * xi* y2n-i |
(x+y)n * (x+y)n
| = |
n Σ i=0 | nCi * xi* yn-i | * |
n Σ j=0 | nCj * xj* yn-j |
だから、特にxnynの項の係数について考えると、
左辺の係数は2nCnであり、
右辺の係数は
|
n Σ i=0 | nCi * nCn-i |
| = |
n Σ i=0 | nCi2 |
【問題4】
2nCn
= 2n-1Cn-1 + 2n-1Cn
= 2 * 2n-1Cn
2n-1Cnは整数だから2nCnは偶数。
◆東京都 千葉 英伸 さんからの解答。
【問題4】
《別解その1》
問題1より、
nC0+nC1+・・+nCn=2n(偶数)
なので、nC0,nC1,・・,nCn のなかで、奇数になるものは偶数個ある。
奇数か偶数かという性質は2乗しても変わらないので、
nC02,nC12,・・,nCn2のなかに、奇数になるものはやはり偶数個含まれている。
従って、問題3より、
2nCn=nC02+nC12+・・+nCn2
も偶数になる。
《別解その2》
素朴に考えて、コンビネーションの定義から、
n≧1であれば、
![]()
◆富山県 N.C さんからの解答。
【問題4】
mCr=mCm-rですから、
m=2n-1、r=n-1をあてはめると
2n-1Cn-1=2n-1Cn
が導かれます。従って,
2nCn
=2n-1Cn+2n-1Cn-1
=2n-1Cn+2n-1Cn
=22n-1Cn
は、偶数となります。
2nCnは、パスカルの三角形の偶数段目の中央です。
パスカルの三角形は左右対称ですから,中央の項の左斜め上の項
2n-1Cn-1と右斜め上の項2n-1Cnは一致します。
その他にも、n!を素因数分解したときの2の指数e
(n!=(奇数)×2eとなる数e)は、
| e=[ |
n 2 | ]+[ |
n 4 | ]+[ |
n 8 | ]+... |
となることを用いても証明できると思います。
◆愛知県の高校生 Sparking さんからの解答。
【問題4】
単純に 2n-1Cn-1=2n-1Cn
(二項係数の対称性)から
2nCn
=2n-1Cn-1+2n-1Cn
=2・(2n-1Cn)
(尚二行目の定理はAさんが自分を含めて2n人の中からn人のグループを作らせてもらうときの作り方は
(1)Aさんがそのグループに入りたかった場合の数
(2n-1人からn-1人を選ぶ)と
(2)Aさんがそのグループに入りたくなかった場合の数
(2n-1人からn人を選ぶ)
との和で表せると説明できる。)
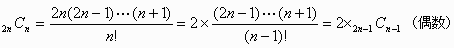
◆静岡県 ヨッシー さんからの解答。
【問題4】
2nCn
| = |
2n×(2n-1)×・・・×(n+1) n×(n-1)×・・・×1 |
| = |
2n n | × |
(2n-1)×・・・×(n+1) (n-1)×・・・×1 |
| =2×2n-1Cn-1 |
2n-1Cn-1は整数なので、2nCn は偶数
◆大阪府 河野 進 さんからの解答。
【問題4】
【問題4】の証明には
2nCn ≡ 0 (mod 2)
を示せば十分だと思います。
そのためには、以前お送りした公式集の様なものの (2.1) とした次の補題(教科書からの丸写しです)を使えば簡単だと思います。
【補題】
p を素数とする。
m, k を負でない整数とし、各々の「p 進法表示」を
aN・・・a0, bN・・・b0 とする
| (正確には、m = |
N Σ i=0 | aipi,k = |
N Σ i=0 | bipi) |
このとき、
| mCk ≡ |
N Π i=1 | aiCbi (mod p) |
が成り立つ。
証明は (x+1)m を (Z/pZ)[x] の元と見て展開し
xk の係数を決定することでできます。
この補題で p = 2, m = 2n, k = n としますと、
a0 = 0, ai =bi-1 (i > 0) となります。
j を bi = 1 を満たす i の最小値としますと
(n を正整数とすると、この様な j は存在します)、
aj = 0,
ajCbj = 0C1 = 0 となります。
従って、補題より
| 2nCn ≡ |
N Π i=1 | aiCbi (mod 2)= 0. |
つまり、2nCn は偶数です。
◆東京都 小林 祐介 さんからの解答。
【問題4考察】
n,kは自然数とする。
| 2nCn= |
2n×(2n-1)×・・・×(n+1) n! |
2n×(2n−1)×…×(n+1)に含まれる2の指数をxn,
n!に含まれる2の指数をynとする。
xn+1−yn+1=xn−yn+1−α
(n+1=2α・β(αは0以上の整数、βは奇数))
x1−y1=1
これを解いてグラフにしてみると下の図のようになる。

何となくフラクタライズな関係が見えてきそうな気がするのですが。
ただxn−yn>0を証明するのは難しそうです。
このグラフを見て思ったのですが
nが2kの時、2nCnは指数2を1つしか持ってないようなのでこんな問題はどうでしょう?
「
は2では割り切れますが、4では割り切れるでしょうか?」
この問題を提案したいと思います。
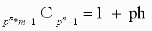
◆富山県 N.C さんからのコメント。
解答ではなくて済みません。
ちゃちゃを入れます。
東京都の小林 祐介さんの【問題4考察】についてですが、
nを2進数で表記したものと、
2nCnを素因数分解したときの
2の指数Xn−Ynの関係は、どうなっているのでしょうか。
掲載されているグラフから読み取った限りでは、下記のように
2の指数Xn−Ynは、nの2進表記における1の個数と一致しています。
| n(2進表記) | Xn−Yn |
|---|---|
| 1 | 1 |
| 10 | 1 |
| 11 | 2 |
| 100 | 1 |
| 101 | 2 |
| 110 | 2 |
| 111 | 3 |
| 1000 | 1 |
| 1001 | 2 |
| 1010 | 2 |
| 1011 | 3 |
| 1100 | 2 |
| 1101 | 3 |
| 1110 | 3 |
| 1111 | 4 |
| 10000 | 1 |
◆大阪府 河野 進 さんからの解答。
小林祐介さんの問題に付いて考えましたが、4では割り切れないと思います。
次のように考えました。
i を 2n より小さい正整数としますと、
2n + i の素因数分解に於ける2の指数は i の素因数分解に於ける2の指数に等しいので、
|
2n+1! 2n! | の素因数分解に於ける2の指数は |
は4を法として2だと思います。
◆宮城県 アンパンマン さんからの解答。
【問題1】
nC0+nC1+…+nCn-1+nCn
=(1+1)n
=2n
【問題2】
nC0−nC1+…+(-1)n-1nCn-1+(-1)nnCn
=(1-1)n
=0
【問題3】
(1+x)n*(1+x)n=(1+x)2n のxn の係数から
(nC0)2+(nC1)2+・・+(nCn)2
=2nCn
を証明できます。
【問題4】
2nCn
=nC02+nC12+・・+nCn2
●case1 n=奇数
2nCn
=2(nC02+nC12+・・+(nC(n-1)/2)2)
=偶数
●case2 n=偶数
2nCn
=2(nC02+nC12+・・+(nC(n-2)/2)2)+(nCn/2)2
=偶数(2C1=2、帰納法で証明できる)
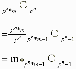
◆茨城県 小川 康幸 さんからの解答。
【問題4】
| 2nCn= |
2n n | *(2n-1Cn-1)=2*(2n-1Cn-1) |
よって、2nCnは偶数である。
さて、ここで問題になっていた、
![]()
を一般化した、
【定理】
pを素数、n,mを自然数とする。

が成立する。
を証明したいと思います。
その為に、補題を二つほど準備します。
【補題1】
f<pn なる任意の自然数 f に対して、
![]()
となる。
【証明】
f=pr*s
ただし、sは、pと互いに素な自然数、rは、0以上の整数と書ける。
pr≦pr*s= f<pn より r<n である。

ここで、

とおくと、

よって、

ゆえに、
が、pで割り切れる。
sとpは互いに素なので、
が、pで割り切れる。
よって、
となる。
証明終
【補題2】
g<pn なる任意の非負整数 g に対して、
となる。
証明
数学的帰納法で示す。
g=0 のとき
だから、正しい。
g=k のとき、
となると仮定する。
ただし、kは、0<k<pn-1 なる、非負整数である。
0<k+1<pn だから、補題1より、
よって、
よって、g=k+1 のときも、
となって、正しい。
よって、数学的帰納法により、示された。
証明終わり
準備は出来ましたので、

を示します。
証明
補題2より、
p>2のとき、pn-1は、偶数だから、
p=2のときも、
いずれにしても、
となる。
よって、

(ただし、hは非負整数)と書ける。
![]()
よって、
となる。
よって、

は、示された。
証明終わり
![]()
は、この定理の、m=2、p=2、n=kの特別な場合である。
この定理を使うと
12C4≡3 (mod 6) ,
72C8≡9 (mod 18),
54C9≡6 (mod 18)
などが言えます。
◆山梨県 Footmark さんからの解答。
nC0+nC1*X+nC2*X2+…+nCn-1*Xn-1+nCnXn
=(1+X)n
今後はこの式を元の式と呼びます。
【問題1】
元の式で、X=1 とすると
nC0+nC1+…+nCn-1+nCn
=(1+1)n
=2n
【問題2】
元の式で、X=−1 とすると
nC0−nC1+…+(-1)nnCn
=(1−1)n
=0
【問題3】

nxnのマスで、右1マス進むのを→で、上1マス進むのを↑で表すと、
PからQに行く最短経路は、
n個の→とn個の↑の計2n個の→,↑の並び方になります。
ですから、
最短経路の数= 2nCn
また、必ず図のいずれかの●は通らねばなりません。
1番上の●は0段、1番下の●はn段にあるものとすると、
↓
ですから、
最短経路の数
=nC02+nC12+・・+nCn2
∴nC02+nC12+・・+nCn2=2nCn
【問題4】
【問題3】同様nxnのマスでの最短経路と考えます。
1つの最短経路の道順があれば、その道順の「横に進む」と「縦に進む」を入れ替えた道順も必ずあります。
この2つの道順で1対になっているので必ず偶数です。