『1999 Part11』解答


◆静岡県 ヨッシー さんからの解答。

問題の996点は998点として解答します。

図のように、x軸上に2点A(-c,0)、B(c,0) があります。

このとき、2点A、Bを通る円の中心は、y軸上にありますが、そういう円について、次のことがいえます。

中心の座標が、O1:(0,a),O2:(0,b) で、2点A,Bを通る2つの円

 x2+(y-a)2=a2+c2・・・(1)

 x2+(y-b)2=b2+c2・・・(2)

を考えます。ただしa<b。

このとき、円(1)上の点で、y>0である点はすべて円(2)の内部に存在します。

(予備証明)

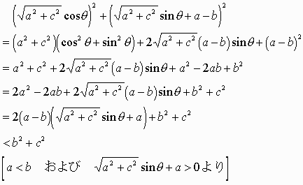
円(1)上の点

を(2)の左辺に代入して、

よって、円(1)上の点で、y>0である点はすべて円(2)の内部に含まれる。

(予備証明終わり)

(本証明)

平面上に1999個の点があるとき、
ある2点を通る直線を引いて、他の1997個の点が、その直線について、同じ側にあるような、2点A,Bを選ぶことはできる。

この2点A,Bと、他の1997個の点のうちの1個を通る円は必ず存在して、それらの中心は、2点A,Bを結ぶ線分の垂直二等分線上にあり、すべて異なる点となる。

これらの点を、2点を通る直線に対して、点が存在しない側から順に、

1,O2,O3・・・O1997 と番号をつけ、それに対応する1997個の点(円周上の点でA,B以外の点)を
1,C2,C3・・・C1997 とする。

予備証明より、O999 を中心とする円に対し、
3点A,B,C999 は円周上に、
1,C2,C3・・・C998 の998点は内部に、
1000・・・C1997 の998点は外部に存在する。

(本証明終わり)


 『1999 Part11』へ

 数学の部屋へもどる